2019冠状病毒病疫情

按地区每日新增确诊/出院/死亡人数


全球2074250-446504-134096=1493650

全球-新增确诊

全球-新增出院

全球-新增死亡

top


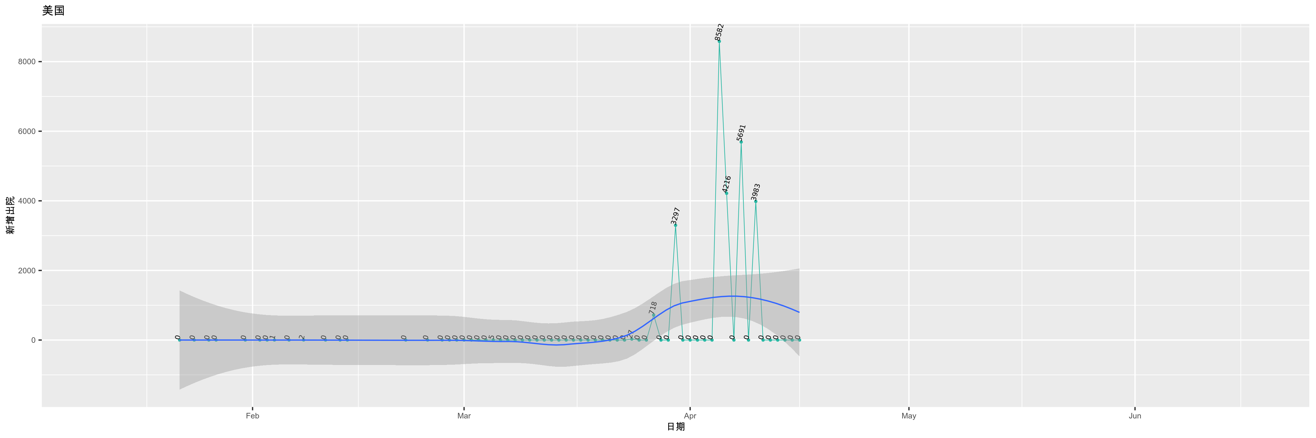
美国632878-26522-27850=578506

美国-新增确诊

美国-新增出院

美国-新增死亡

top


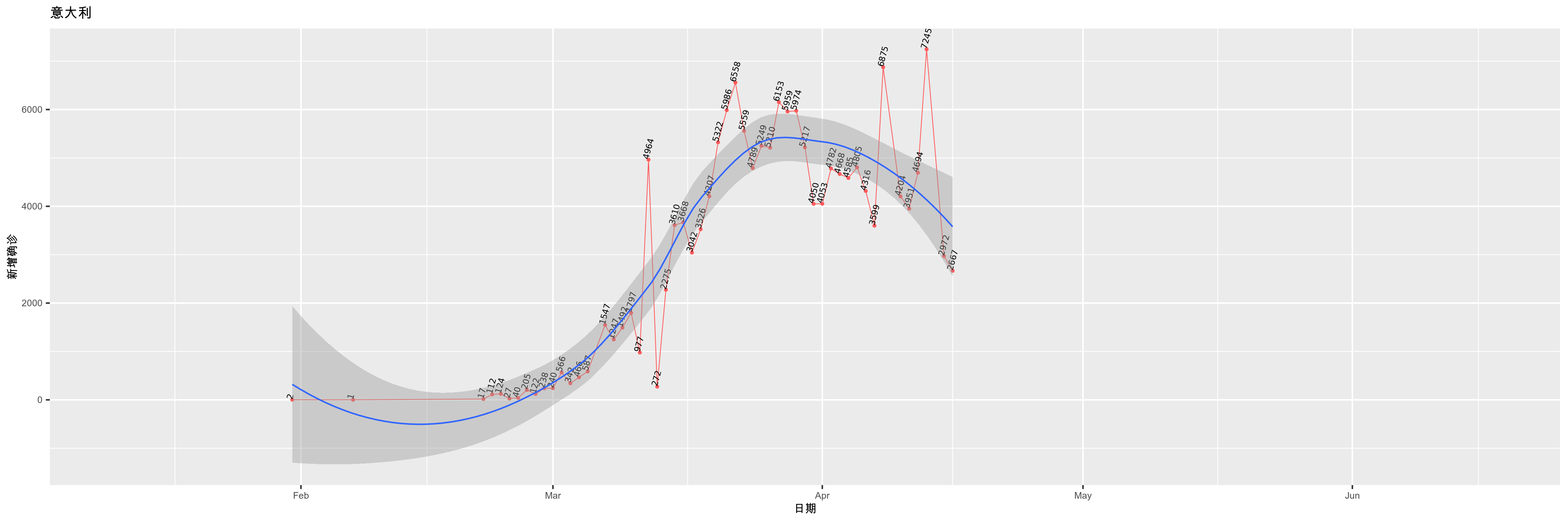
意大利165155-38092-21645=105418

意大利-新增确诊

意大利-新增出院

意大利-新增死亡

top


西班牙182816-67504-19130=96182

西班牙-新增确诊

西班牙-新增出院

西班牙-新增死亡

top


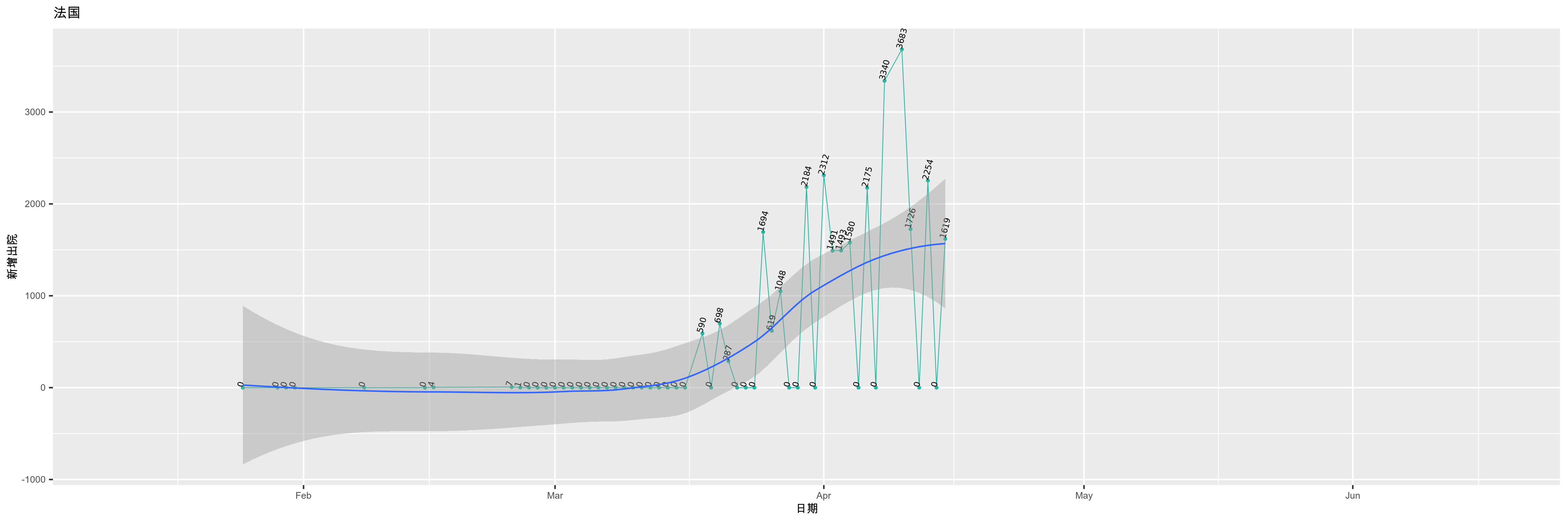
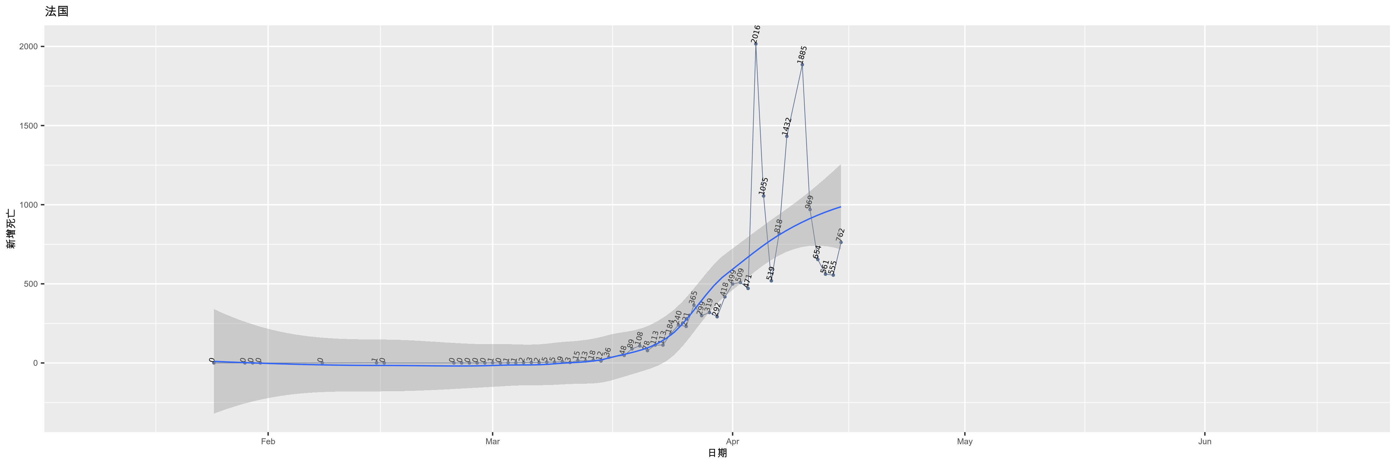
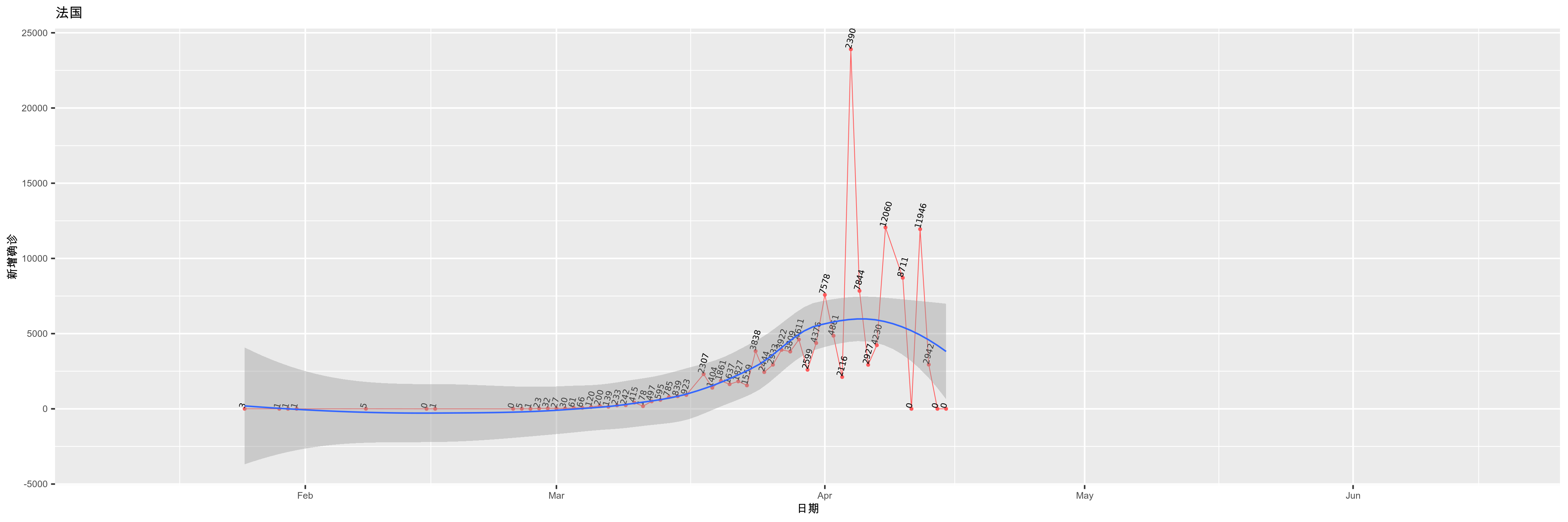
法国133669-28805-15729=89135

法国-新增确诊

法国-新增出院

法国-新增死亡

top


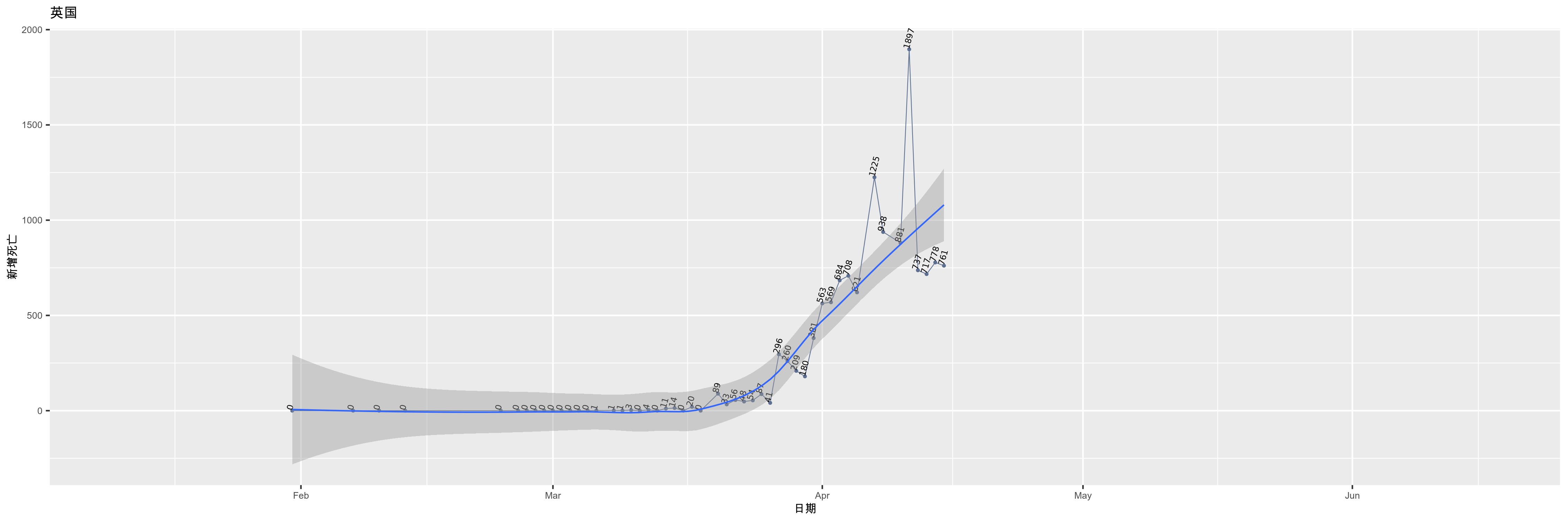
英国98476-287-12868=85321

英国-新增确诊

英国-新增出院

英国-新增死亡

top


土耳其69392-5674-1518=62200

土耳其-新增确诊

土耳其-新增出院

土耳其-新增死亡

top


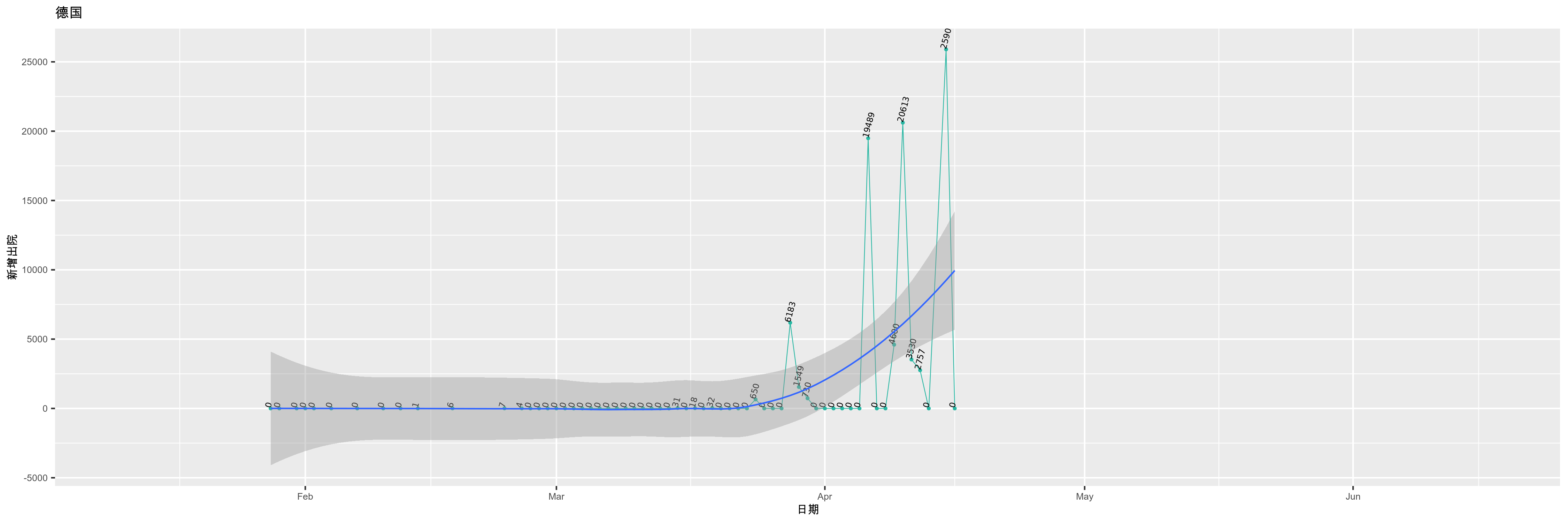
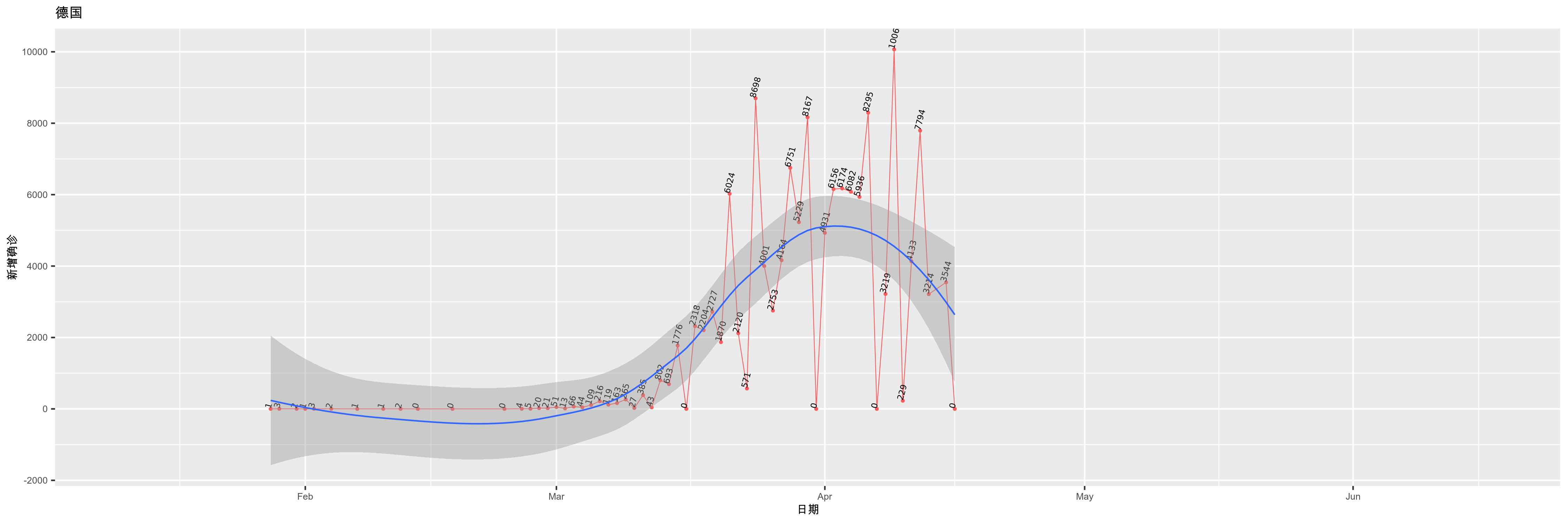
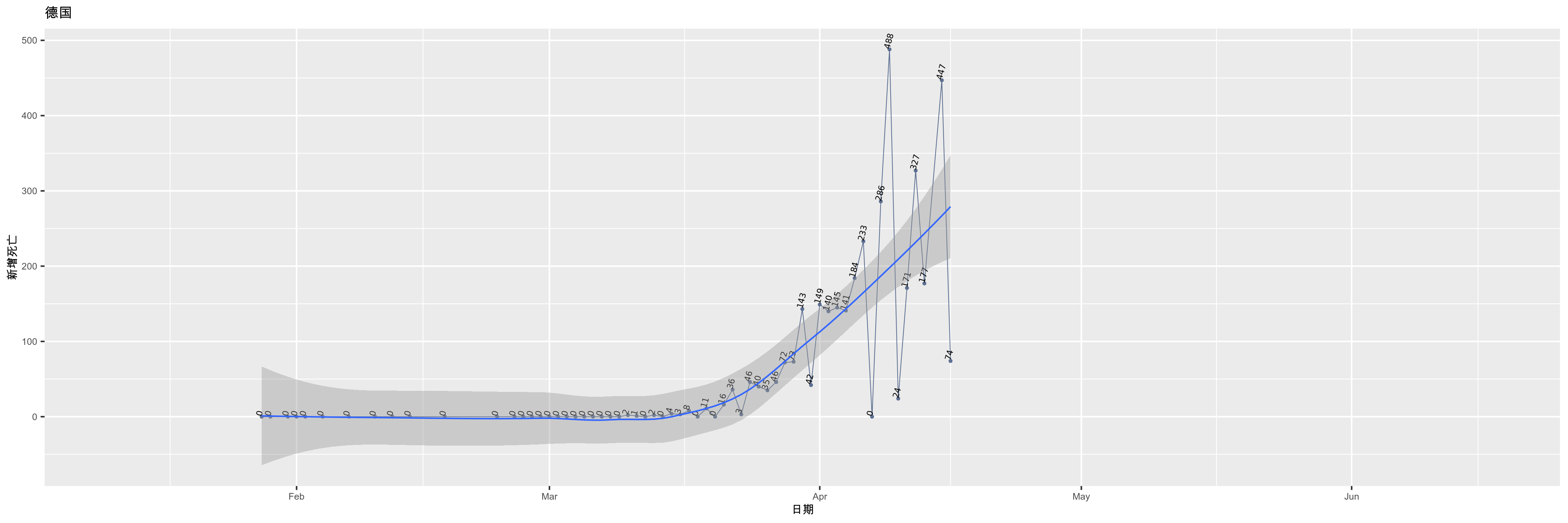
德国132210-86100-3569=42541

德国-新增确诊

德国-新增出院

德国-新增死亡

top


比利时34809-2132-4440=28237

比利时-新增确诊

比利时-新增出院

比利时-新增死亡

top


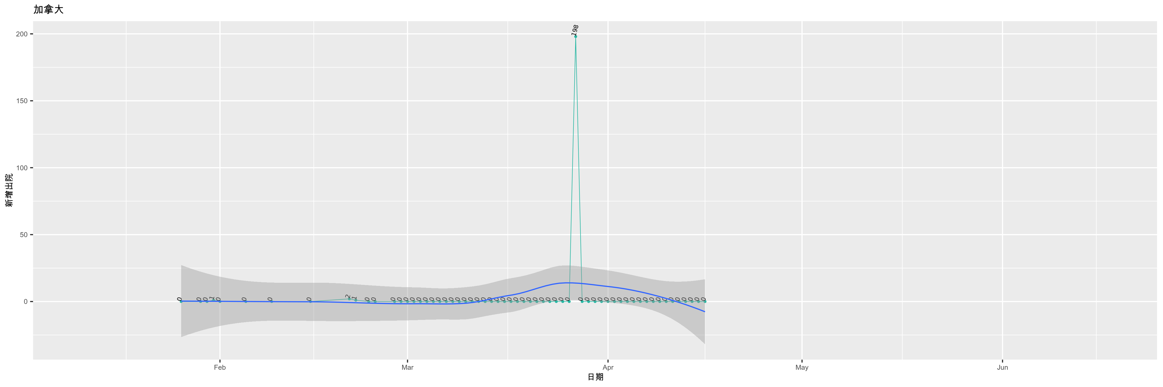
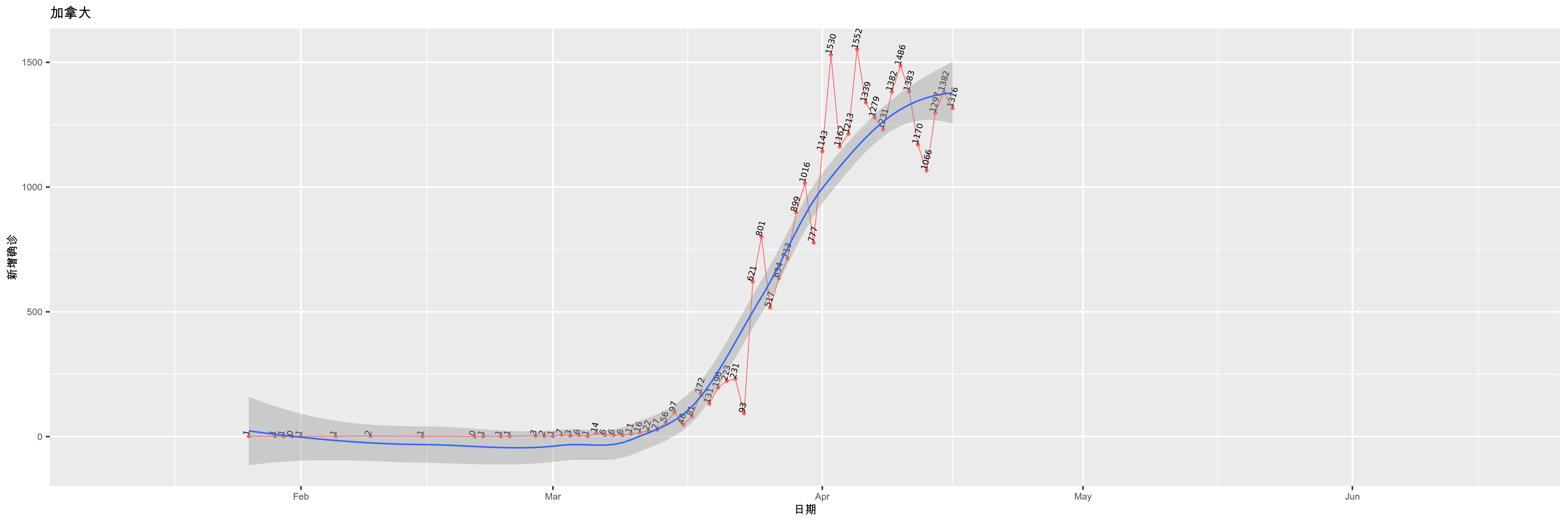
加拿大28379-202-1010=27167

加拿大-新增确诊

加拿大-新增出院

加拿大-新增死亡

top


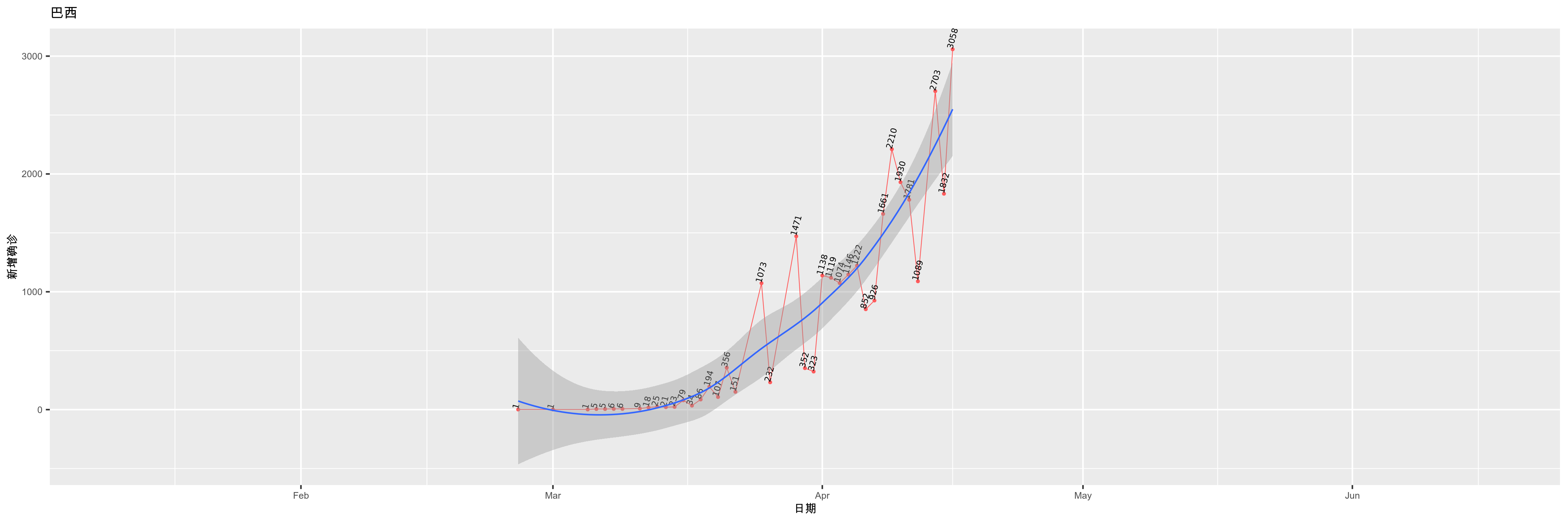
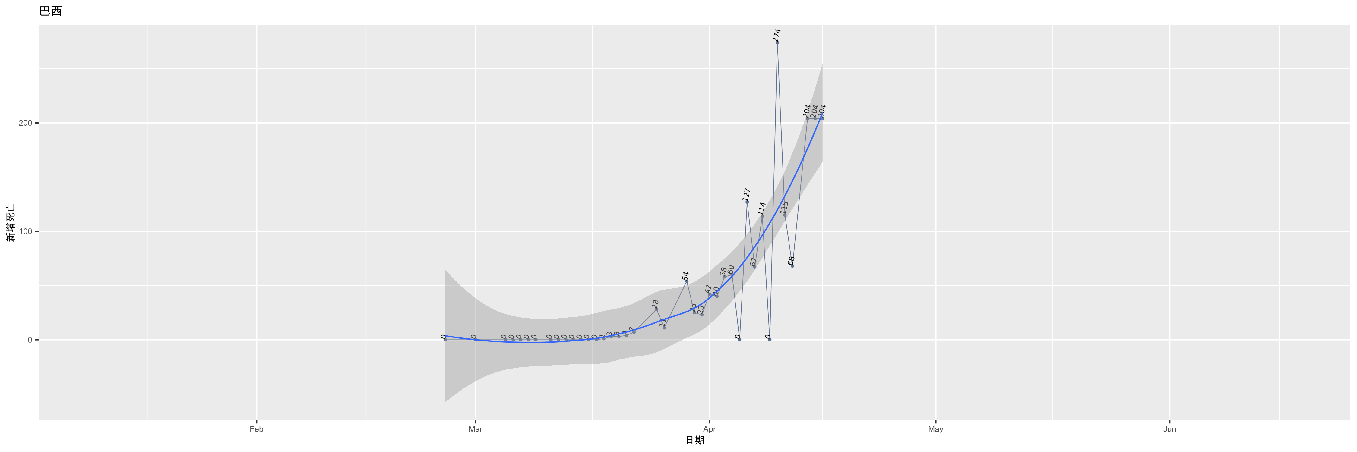
巴西28320-0-1736=26584

巴西-新增确诊

巴西-新增出院

巴西-新增死亡

top


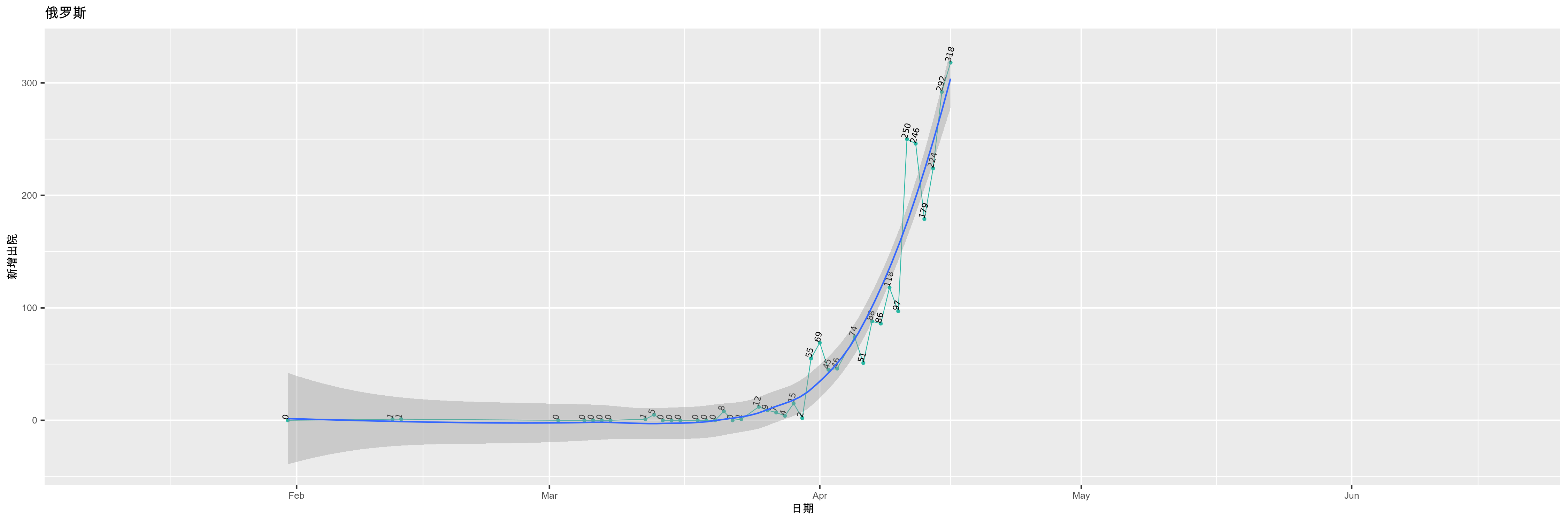
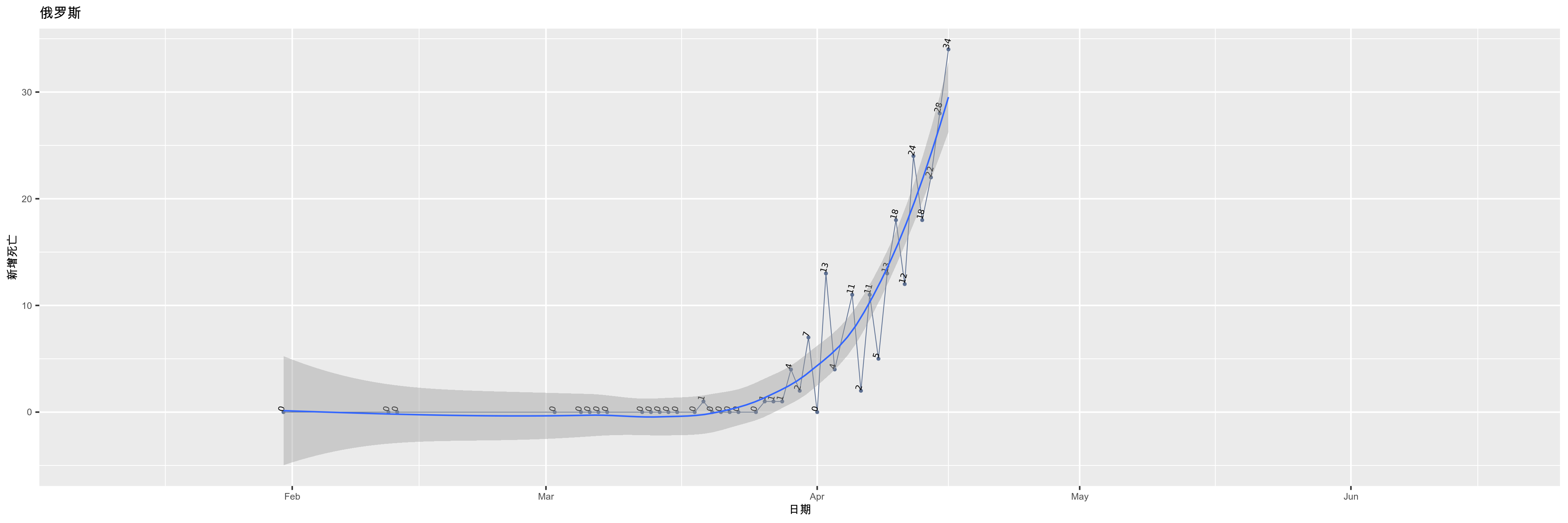
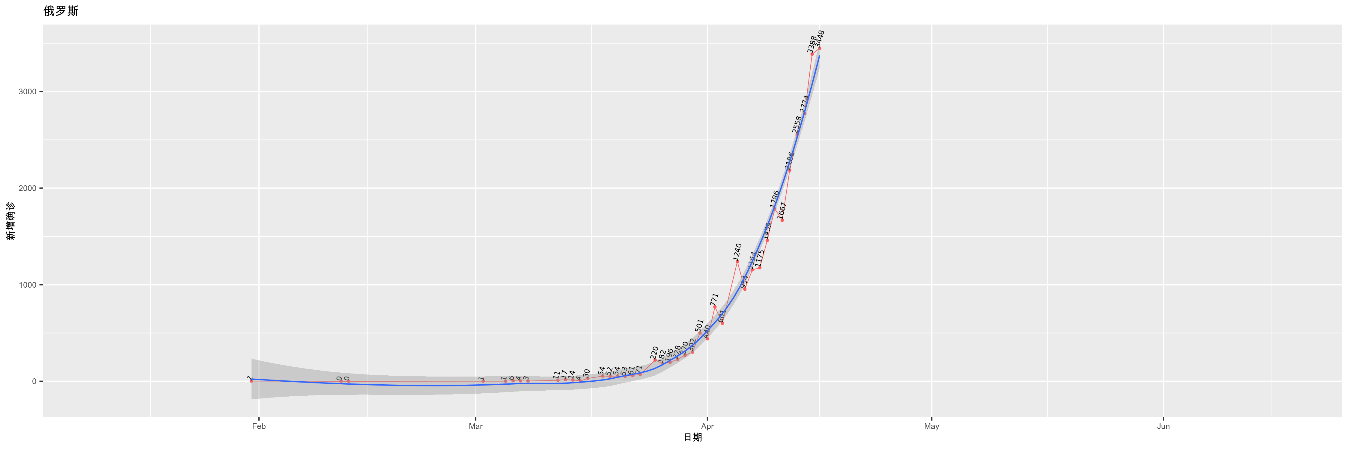
俄罗斯27938-2304-232=25402

俄罗斯-新增确诊

俄罗斯-新增出院

俄罗斯-新增死亡

top


荷兰28153-2500-3134=22519

荷兰-新增确诊

荷兰-新增出院

荷兰-新增死亡

top


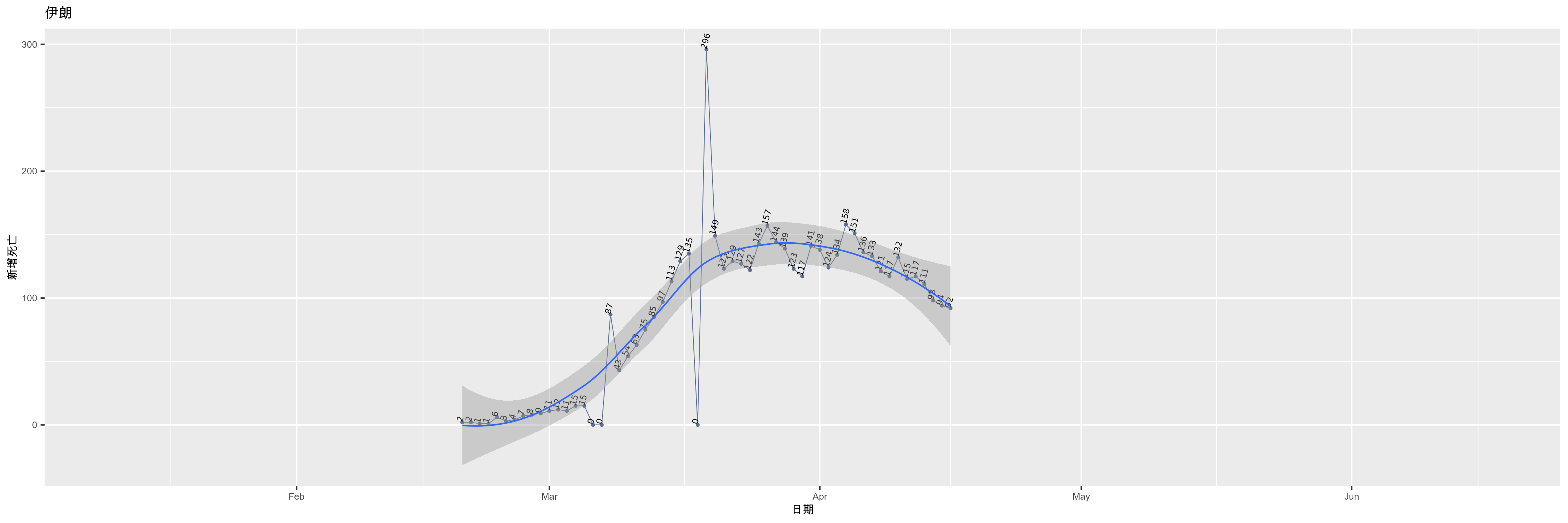
伊朗77995-52229-4869=20897

伊朗-新增确诊

伊朗-新增出院

伊朗-新增死亡

top


瑞士26336-6415-973=18948

瑞士-新增确诊

瑞士-新增出院

瑞士-新增死亡

top


葡萄牙18091-347-599=17145

葡萄牙-新增确诊

葡萄牙-新增出院

葡萄牙-新增死亡

top


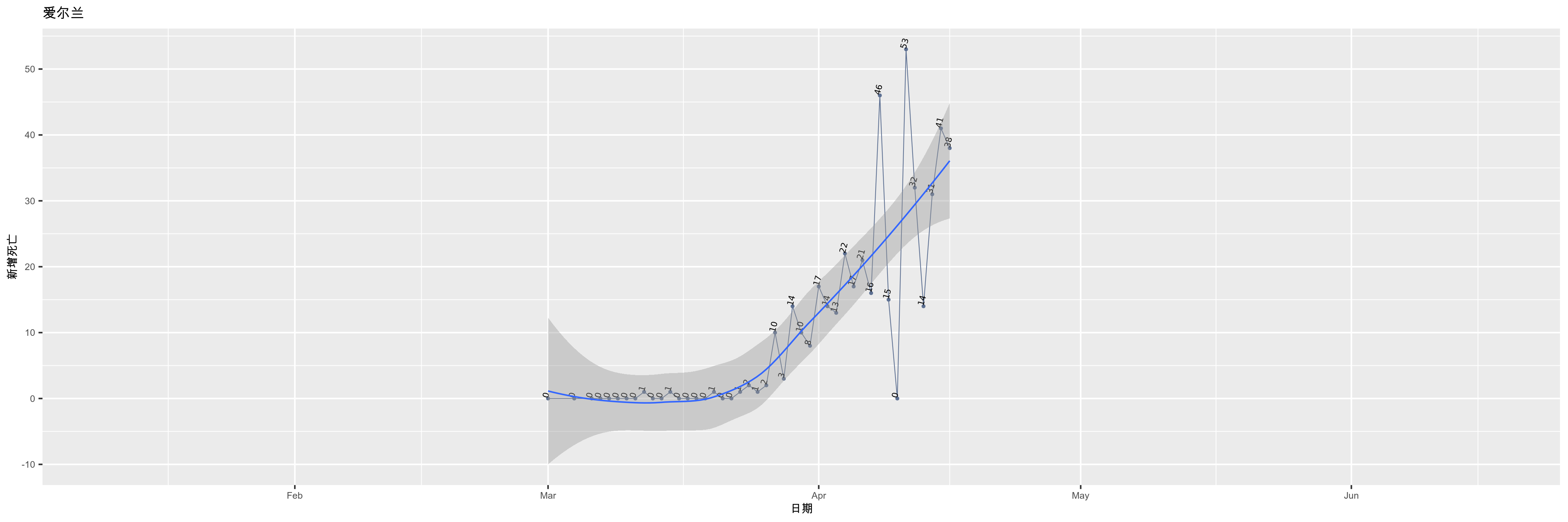
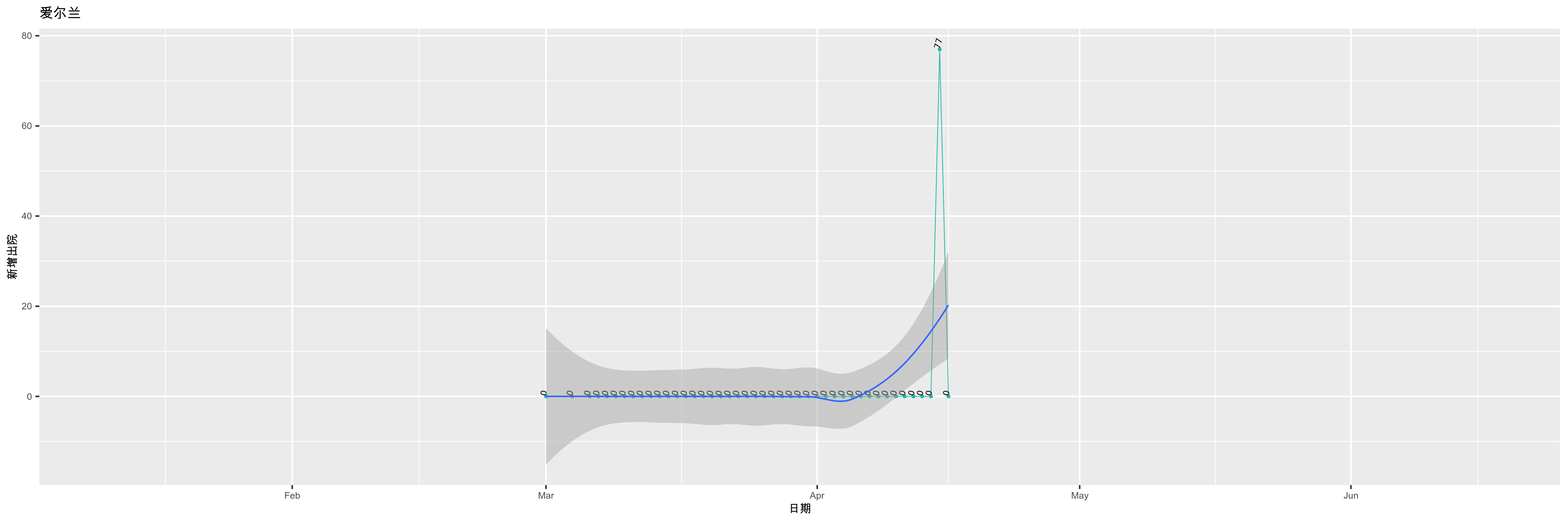
爱尔兰12547-77-444=12026

爱尔兰-新增确诊

爱尔兰-新增出院

爱尔兰-新增死亡

top


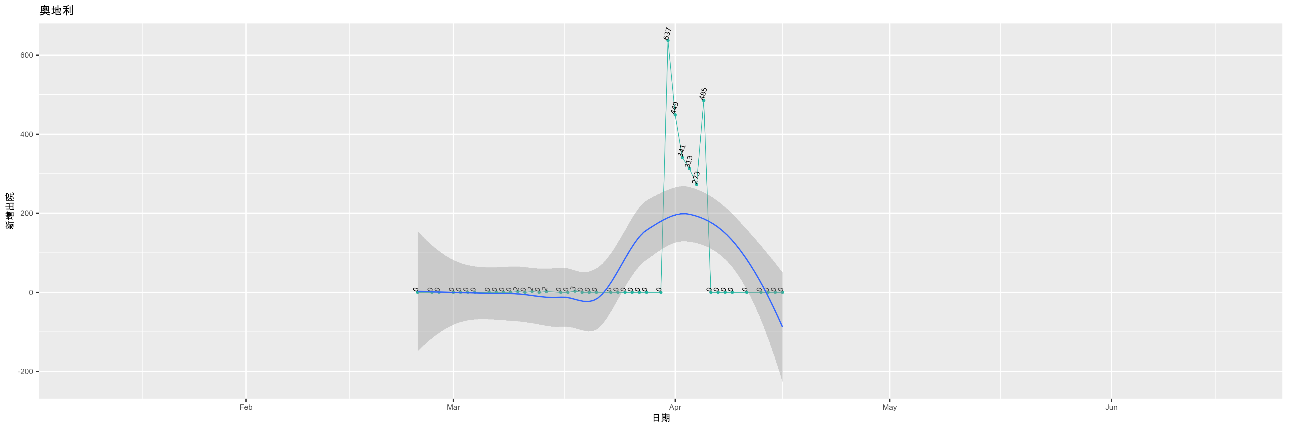
奥地利14321-2507-368=11446

奥地利-新增确诊

奥地利-新增出院

奥地利-新增死亡

top


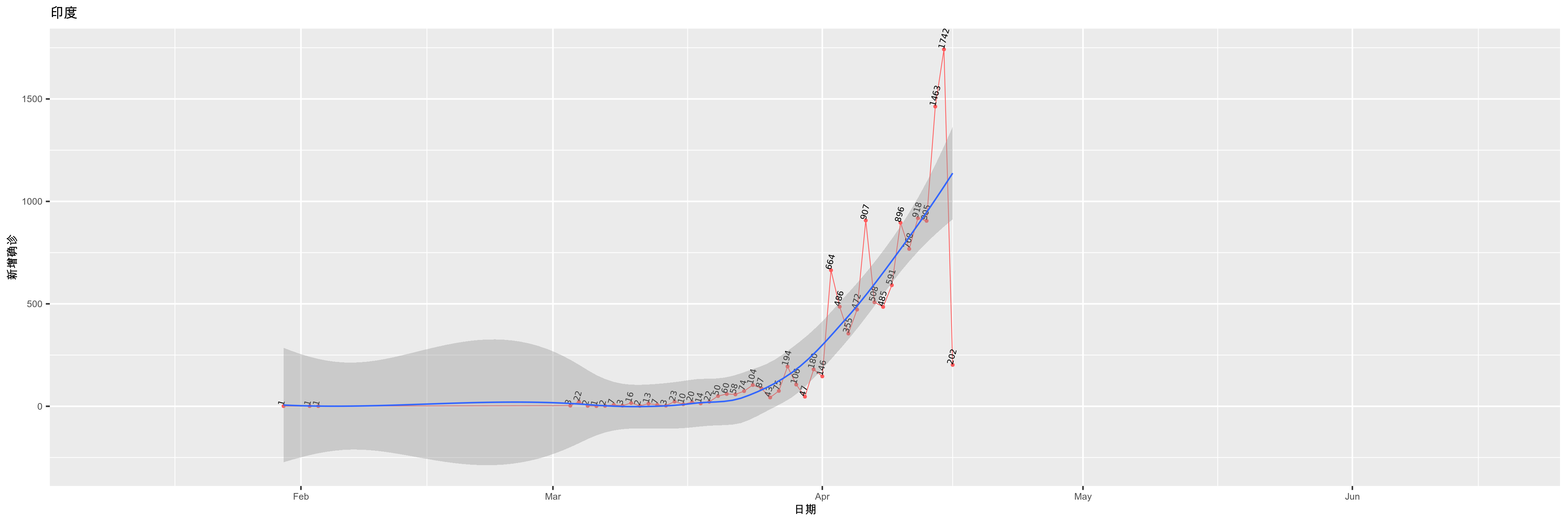
印度12759-1515-420=10824

印度-新增确诊

印度-新增出院

印度-新增死亡

top


瑞典11927-0-1203=10724

瑞典-新增确诊

瑞典-新增出院

瑞典-新增死亡

top


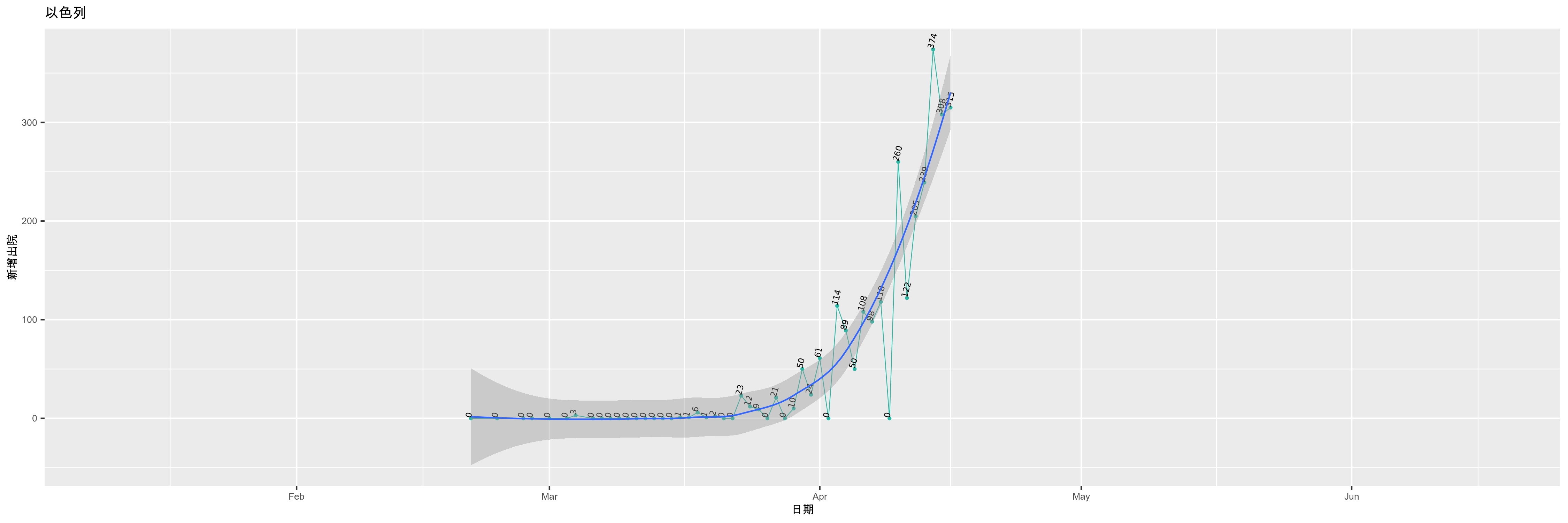
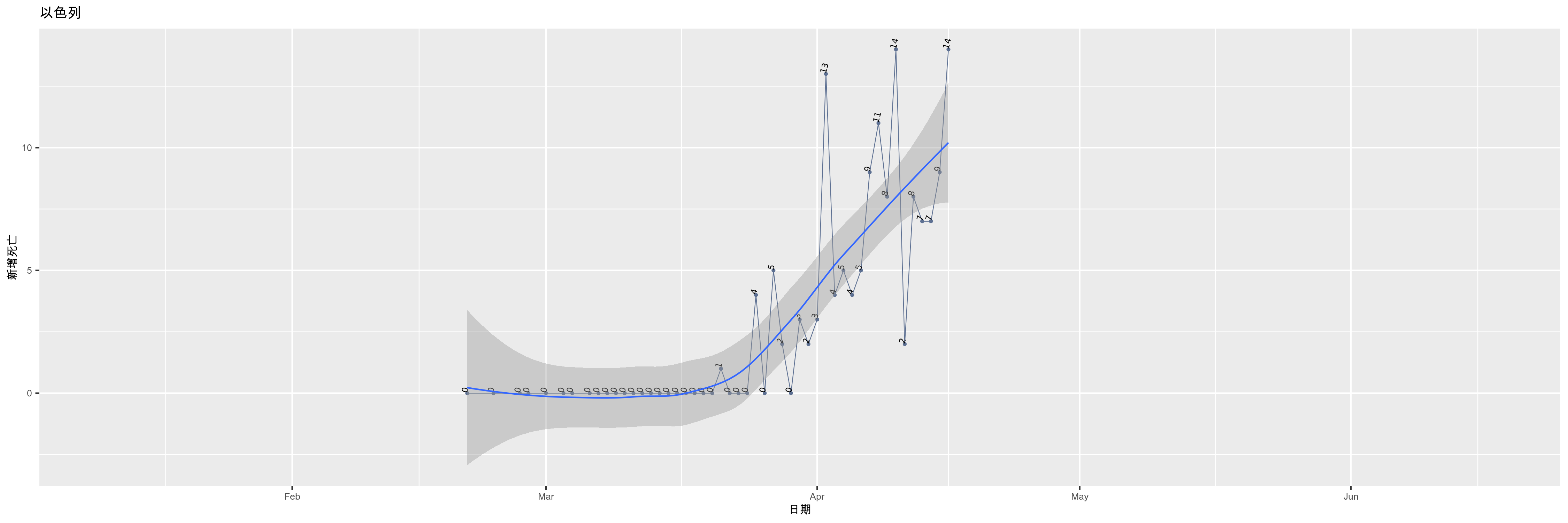
以色列12591-2624-140=9827

以色列-新增确诊

以色列-新增出院

以色列-新增死亡

top


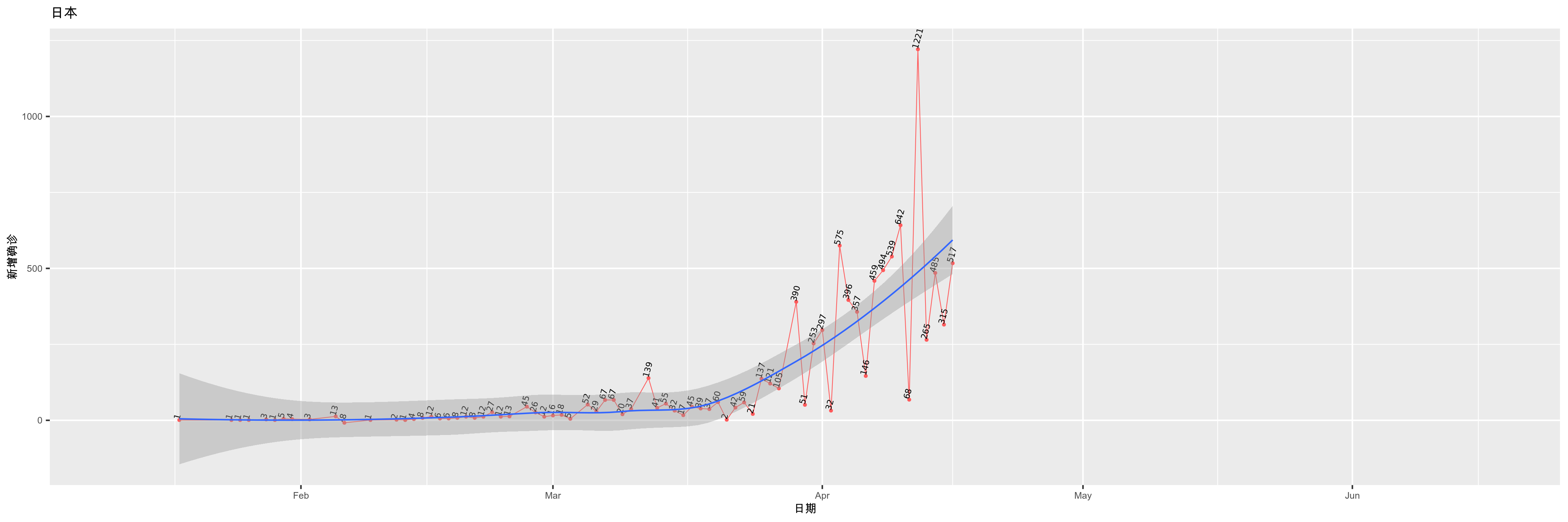
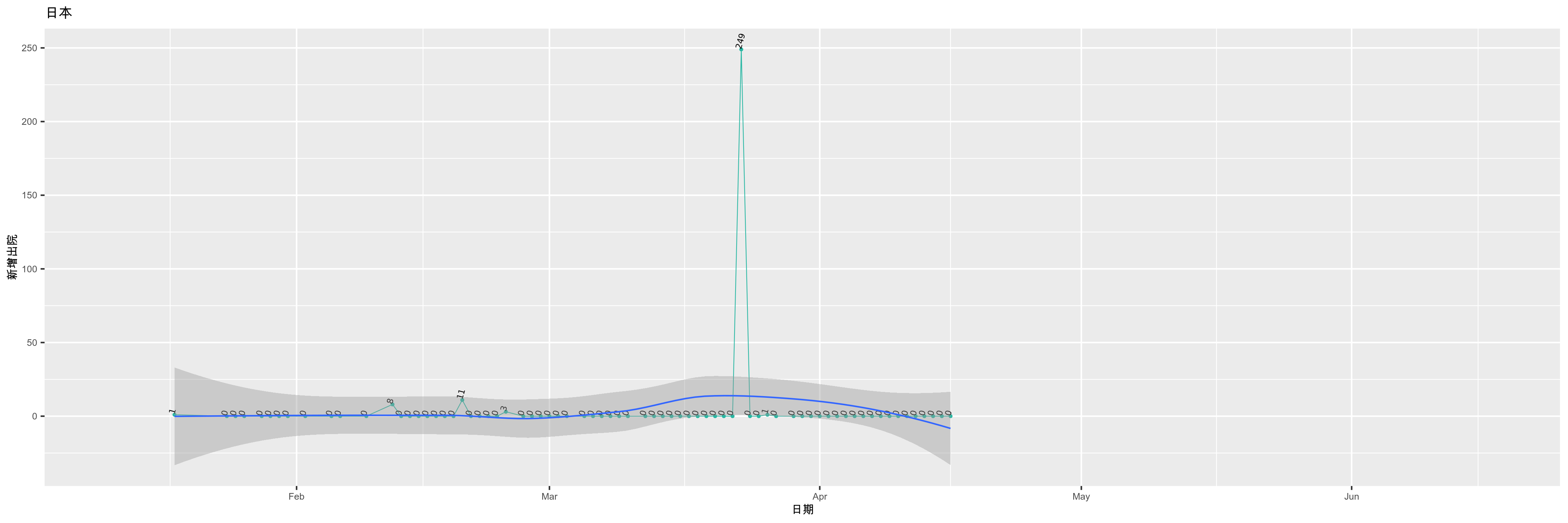
日本9005-273-179=8553

日本-新增确诊

日本-新增出院

日本-新增死亡

top


秘鲁11475-3108-254=8113

秘鲁-新增确诊

秘鲁-新增出院

秘鲁-新增死亡

top


厄瓜多尔7529-501-355=6673

厄瓜多尔-新增确诊

厄瓜多尔-新增出院

厄瓜多尔-新增死亡

top


波兰7582-668-286=6628

波兰-新增确诊

波兰-新增出院

波兰-新增死亡

top


挪威6740-0-150=6590

挪威-新增确诊

挪威-新增出院

挪威-新增死亡

top


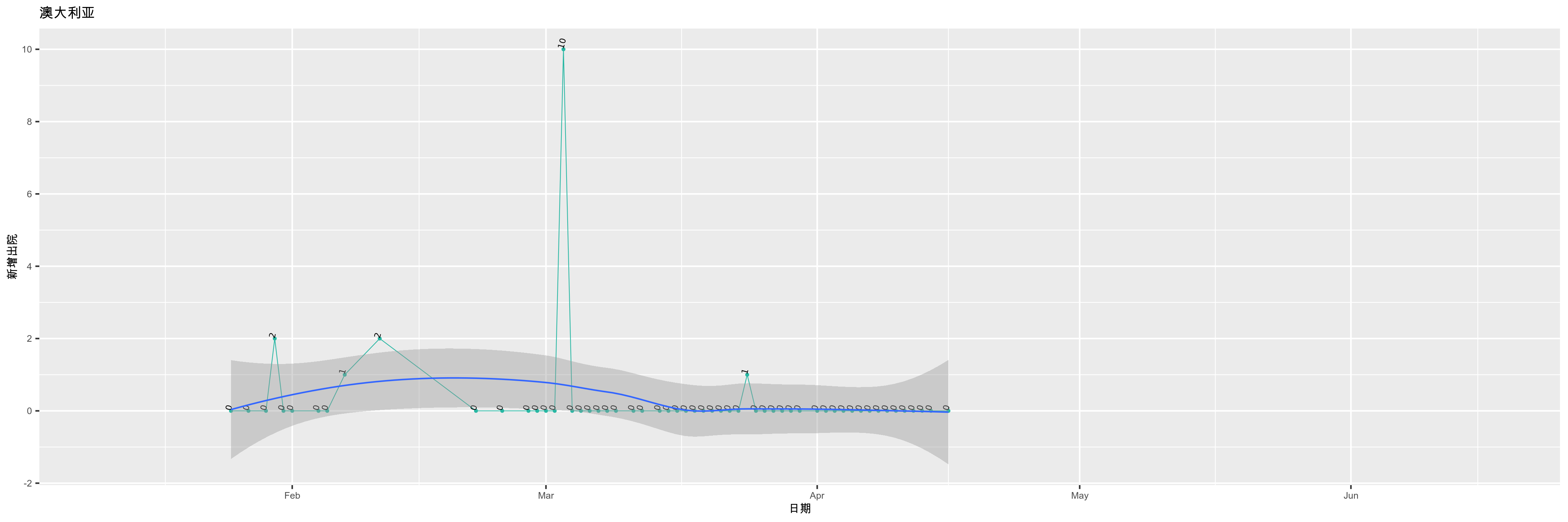
澳大利亚6468-16-63=6389

澳大利亚-新增确诊

澳大利亚-新增出院

澳大利亚-新增死亡

top


罗马尼亚7216-1217-372=5627

罗马尼亚-新增确诊

罗马尼亚-新增出院

罗马尼亚-新增死亡

top


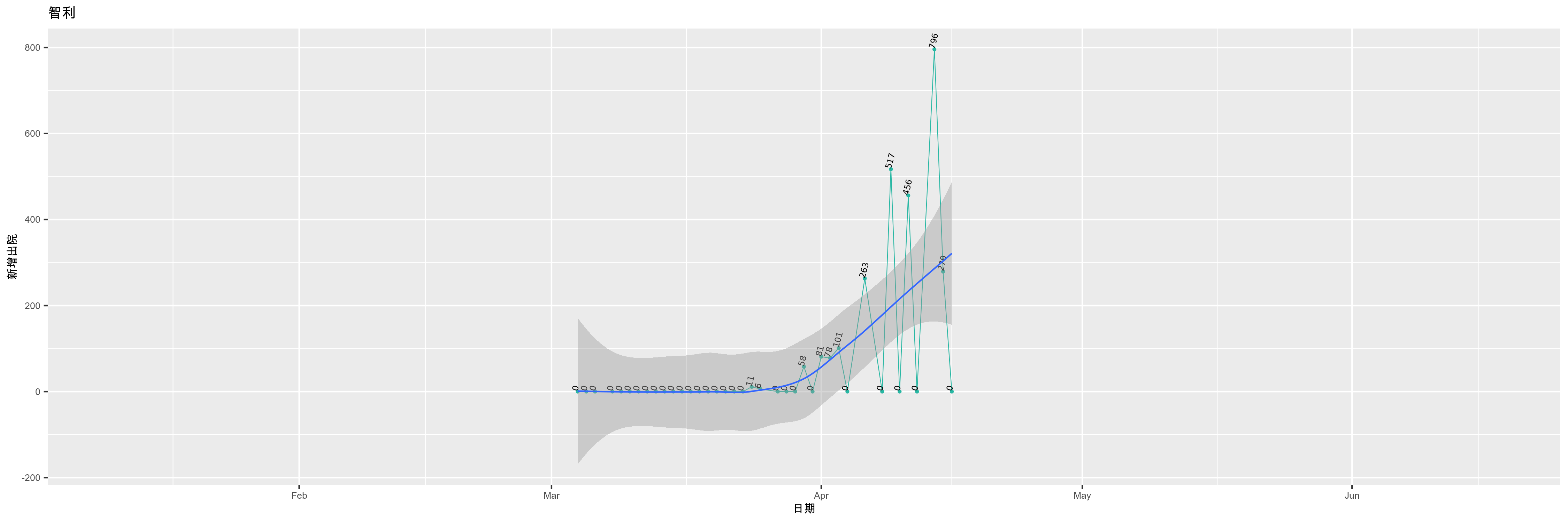
智利8273-2646-94=5533

智利-新增确诊

智利-新增出院

智利-新增死亡

top


丹麦6681-894-309=5478

丹麦-新增确诊

丹麦-新增出院

丹麦-新增死亡

top


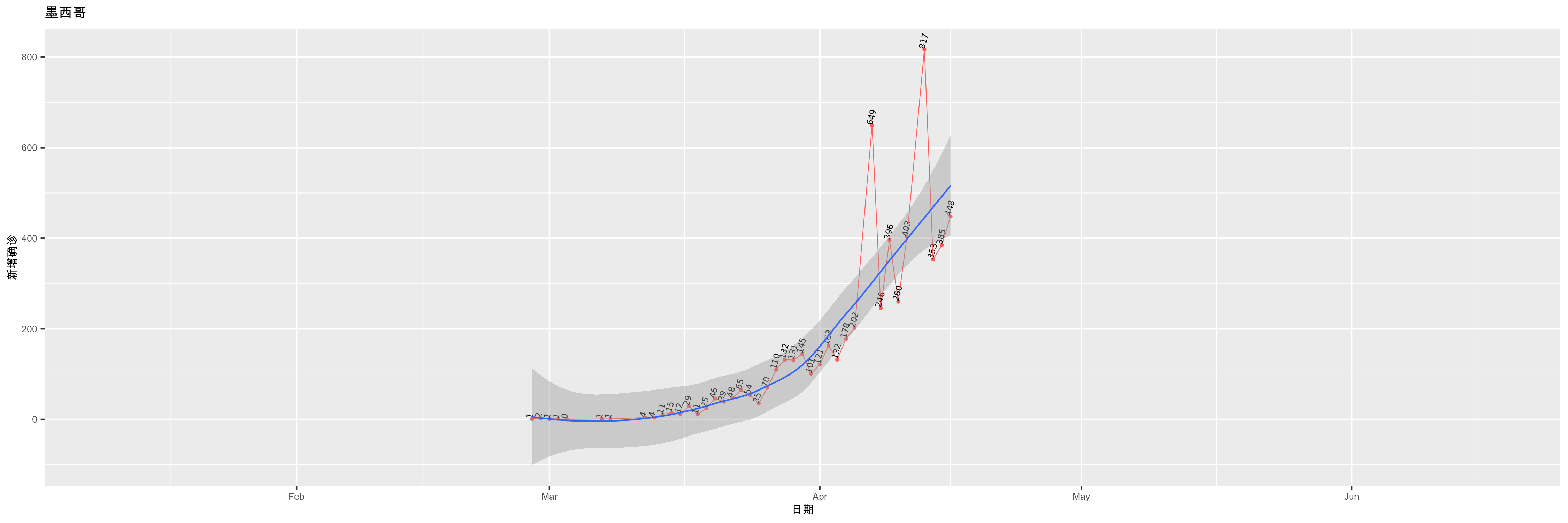
墨西哥5847-1-449=5397

墨西哥-新增确诊

墨西哥-新增出院

墨西哥-新增死亡

top


沙特阿拉伯6380-990-83=5307

沙特阿拉伯-新增确诊

沙特阿拉伯-新增出院

沙特阿拉伯-新增死亡

top


捷克6216-759-166=5291

捷克-新增确诊

捷克-新增出院

捷克-新增死亡

top


菲律宾5660-353-349=4958

菲律宾-新增确诊

菲律宾-新增出院

菲律宾-新增死亡

top


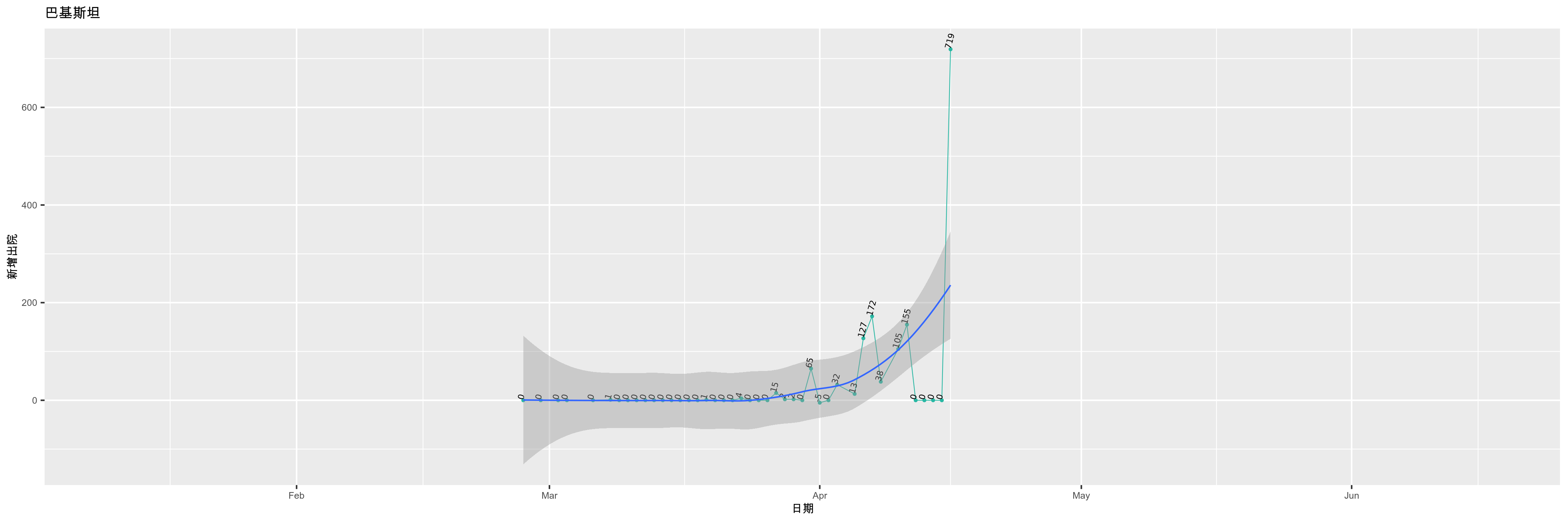
巴基斯坦6383-1446-111=4826

巴基斯坦-新增确诊

巴基斯坦-新增出院

巴基斯坦-新增死亡

top


印度尼西亚5516-548-496=4472

印度尼西亚-新增确诊

印度尼西亚-新增出院

印度尼西亚-新增死亡

top


塞尔维亚4867-400-99=4368

塞尔维亚-新增确诊

塞尔维亚-新增出院

塞尔维亚-新增死亡

top


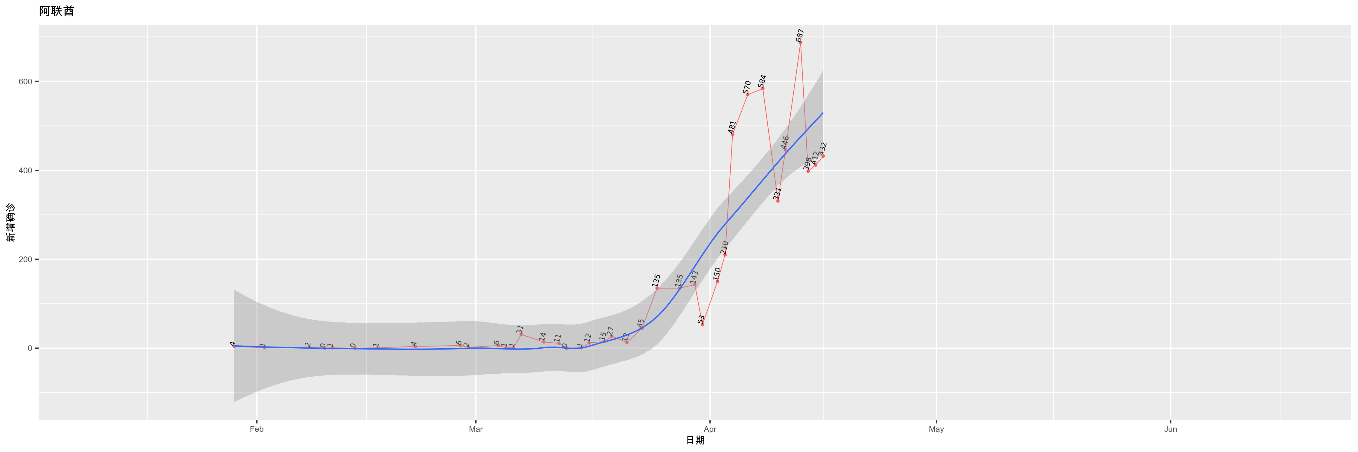
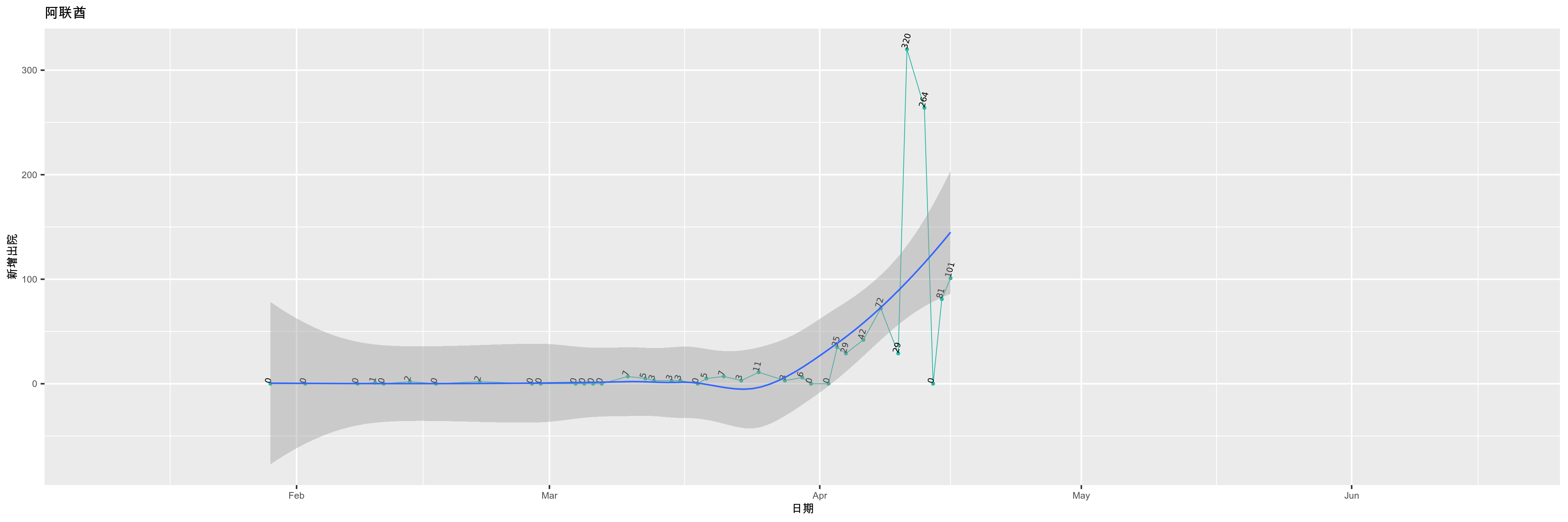
阿联酋5365-1034-33=4298

阿联酋-新增确诊

阿联酋-新增出院

阿联酋-新增死亡

top


乌克兰4161-221-116=3824

乌克兰-新增确诊

乌克兰-新增出院

乌克兰-新增死亡

top


卡塔尔4103-415-7=3681

卡塔尔-新增确诊

卡塔尔-新增出院

卡塔尔-新增死亡

top


白俄罗斯3757-169-40=3548

白俄罗斯-新增确诊

白俄罗斯-新增出院

白俄罗斯-新增死亡

top


巴拿马3472-0-94=3378

巴拿马-新增确诊

巴拿马-新增出院

巴拿马-新增死亡

top


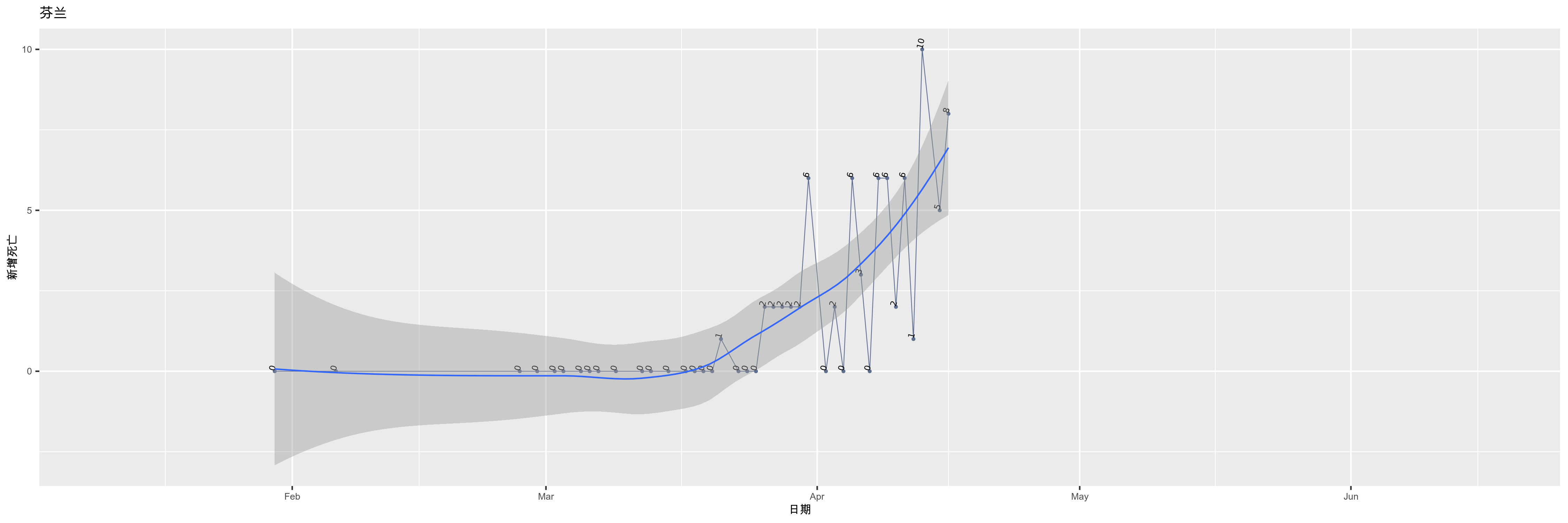
芬兰3237-1-72=3164

芬兰-新增确诊

芬兰-新增出院

芬兰-新增死亡

top


多米尼加3286-0-183=3103

多米尼加-新增确诊

多米尼加-新增出院

多米尼加-新增死亡

top


卢森堡3373-241-69=3063

卢森堡-新增确诊

卢森堡-新增出院

卢森堡-新增死亡

top


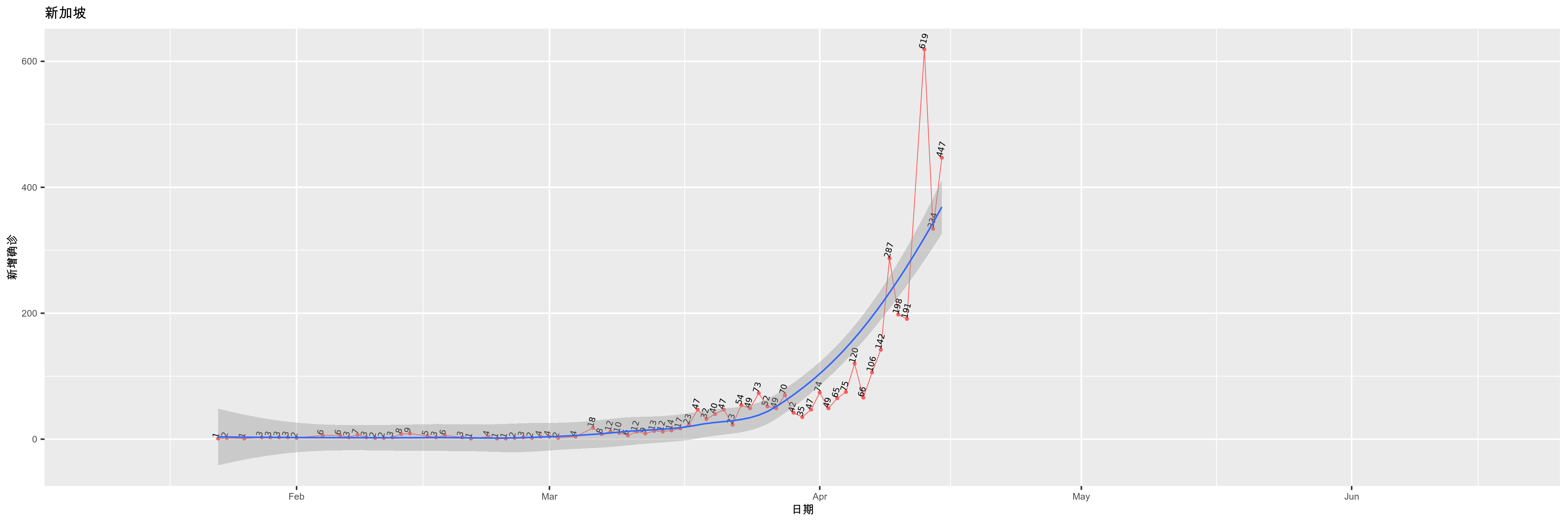
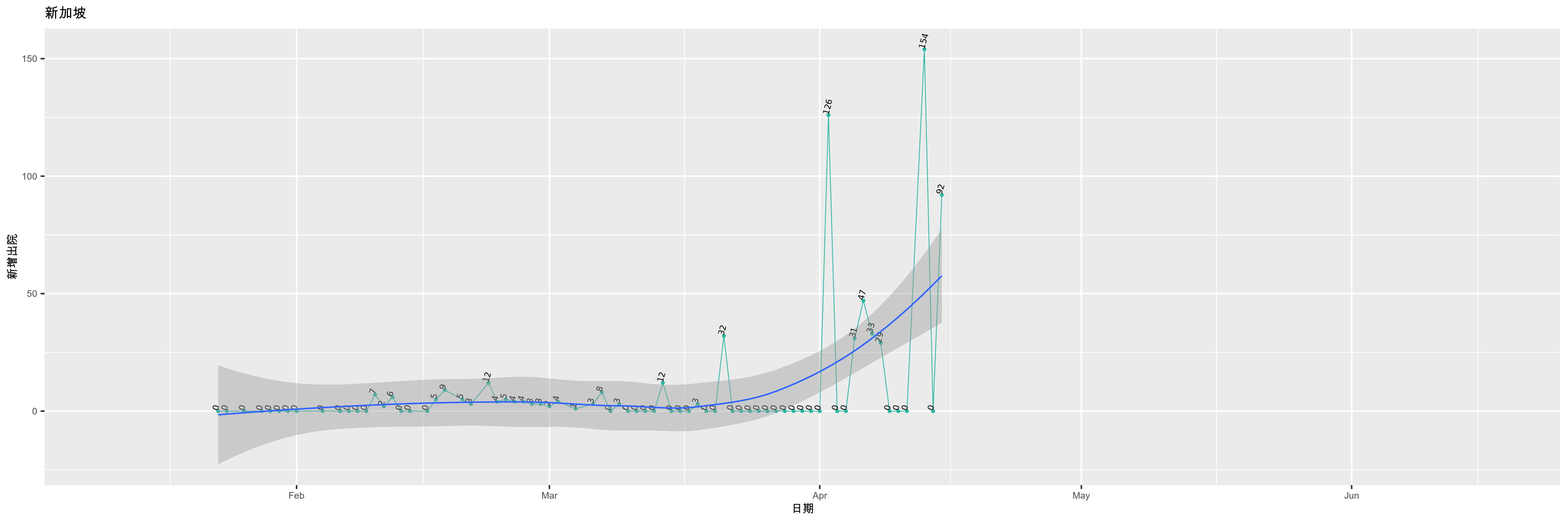
新加坡3699-652-10=3037

新加坡-新增确诊

新加坡-新增出院

新加坡-新增死亡

top


哥伦比亚3105-85-131=2889

哥伦比亚-新增确诊

哥伦比亚-新增出院

哥伦比亚-新增死亡

top


波多黎各2961-0-126=2835

波多黎各-新增确诊

波多黎各-新增出院

波多黎各-新增死亡

top


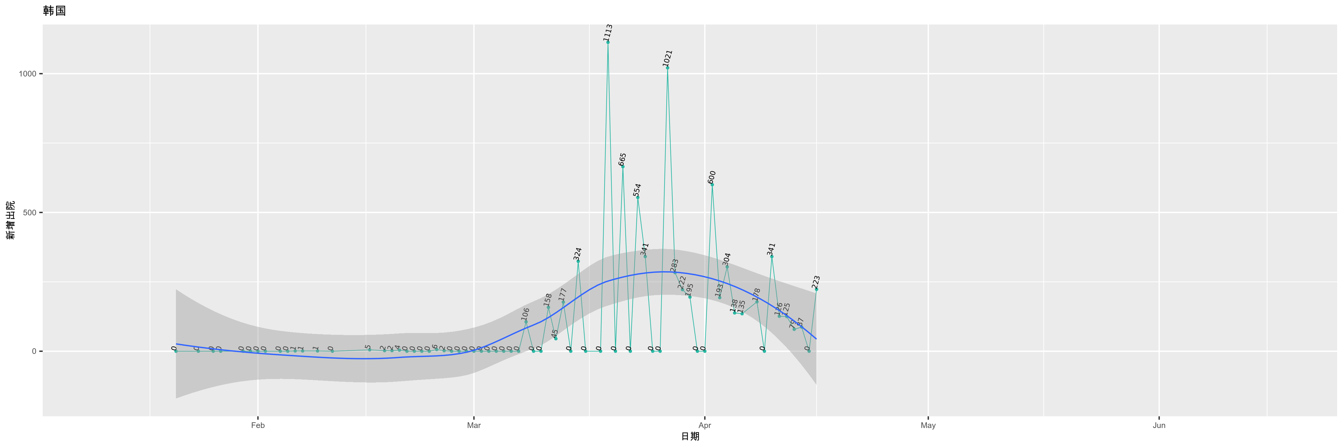
韩国10613-7757-229=2627

韩国-新增确诊

韩国-新增出院

韩国-新增死亡

top


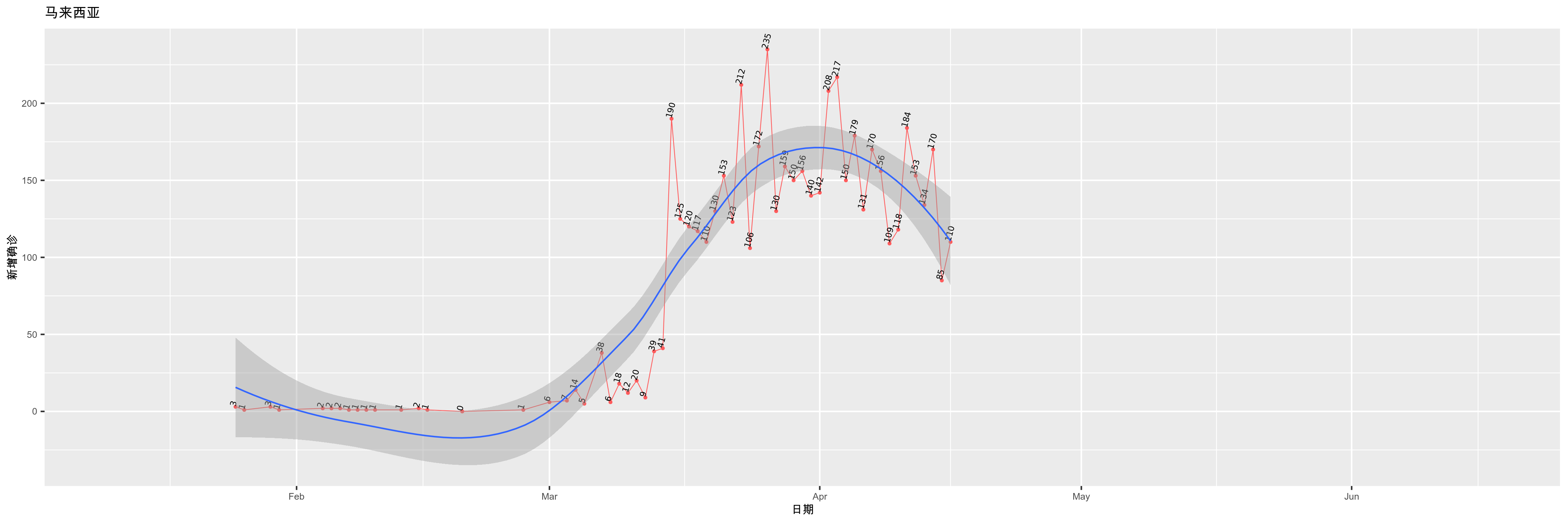
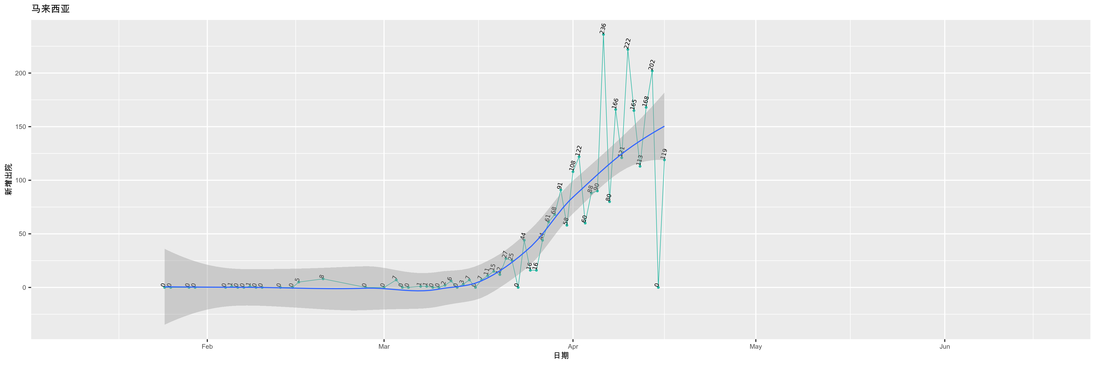
马来西亚5182-2597-84=2501

马来西亚-新增确诊

马来西亚-新增出院

马来西亚-新增死亡

top


塔吉克斯坦2507-0-44=2463

塔吉克斯坦-新增确诊

塔吉克斯坦-新增出院

塔吉克斯坦-新增死亡

top


南非2506-12-34=2460

南非-新增确诊

南非-新增出院

南非-新增死亡

top


希腊2192-19-102=2071

希腊-新增确诊

希腊-新增出院

希腊-新增死亡

top


阿根廷2571-468-112=1991

阿根廷-新增确诊

阿根廷-新增出院

阿根廷-新增死亡

top


摩洛哥2251-247-128=1876

摩洛哥-新增确诊

摩洛哥-新增出院

摩洛哥-新增死亡

top


摩尔多瓦2049-171-44=1834

摩尔多瓦-新增确诊

摩尔多瓦-新增出院

摩尔多瓦-新增死亡

top


埃及2505-553-183=1769

埃及-新增确诊

埃及-新增出院

埃及-新增死亡

top


马约特1464-0-17=1447

马约特-新增确诊

马约特-新增出院

马约特-新增死亡

top


匈牙利1652-199-142=1311

匈牙利-新增确诊

匈牙利-新增出院

匈牙利-新增死亡

top


科威特1524-225-3=1296

科威特-新增确诊

科威特-新增出院

科威特-新增死亡

top


爱沙尼亚1400-117-35=1248

爱沙尼亚-新增确诊

爱沙尼亚-新增出院

爱沙尼亚-新增死亡

top


克罗地亚1741-473-33=1235

克罗地亚-新增确诊

克罗地亚-新增出院

克罗地亚-新增死亡

top


乌兹别克斯坦1214-85-4=1125

乌兹别克斯坦-新增确诊

乌兹别克斯坦-新增出院

乌兹别克斯坦-新增死亡

top


阿尔及利亚2160-708-336=1116

阿尔及利亚-新增确诊

阿尔及利亚-新增出院

阿尔及利亚-新增死亡

top


哈萨克斯坦1197-138-14=1045

哈萨克斯坦-新增确诊

哈萨克斯坦-新增出院

哈萨克斯坦-新增死亡

top


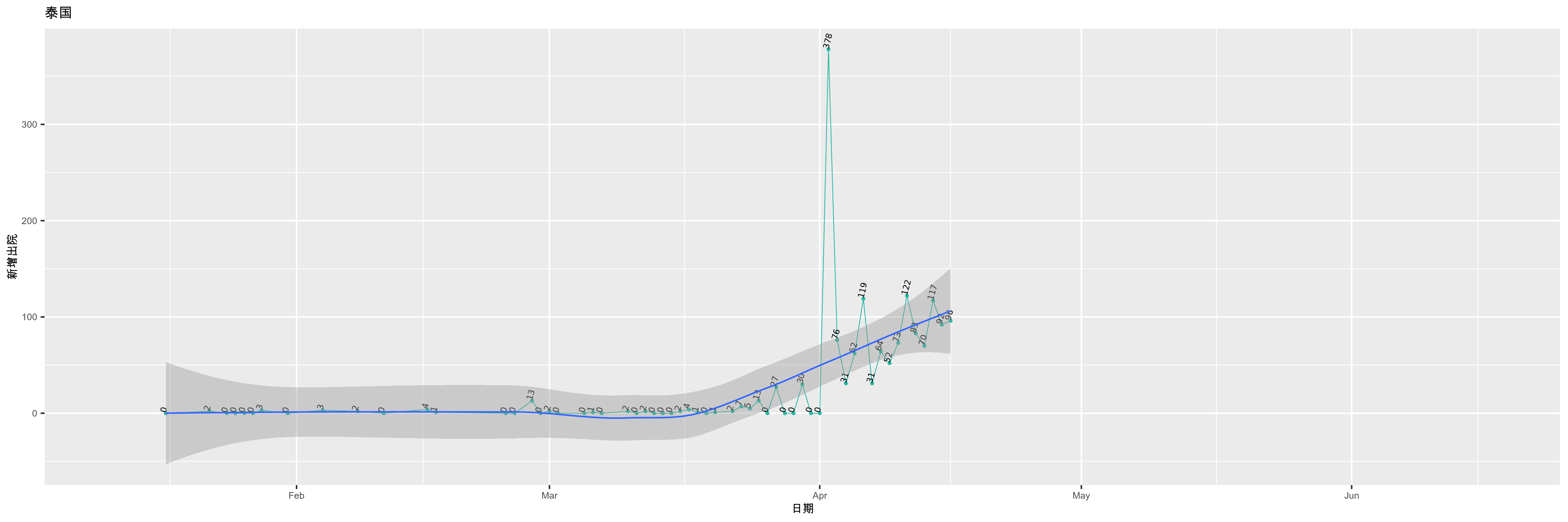
泰国2671-1593-46=1032

泰国-新增确诊

泰国-新增出院

泰国-新增死亡

top


斯洛文尼亚1248-165-61=1022

斯洛文尼亚-新增确诊

斯洛文尼亚-新增出院

斯洛文尼亚-新增死亡

top


巴林1698-703-7=988

巴林-新增确诊

巴林-新增出院

巴林-新增死亡

top


孟加拉国1012-42-43=927

孟加拉国-新增确诊

孟加拉国-新增出院

孟加拉国-新增死亡

top


立陶宛1091-138-30=923

立陶宛-新增确诊

立陶宛-新增出院

立陶宛-新增死亡

top


阿曼1019-176-4=839

阿曼-新增确诊

阿曼-新增出院

阿曼-新增死亡

top


阿塞拜疆1253-404-13=836

阿塞拜疆-新增确诊

阿塞拜疆-新增出院

阿塞拜疆-新增死亡

top


北马其顿974-87-56=831

北马其顿-新增确诊

北马其顿-新增出院

北马其顿-新增死亡

top


波黑1106-251-42=813

波黑-新增确诊

波黑-新增出院

波黑-新增死亡

top


亚美尼亚1111-297-17=797

亚美尼亚-新增确诊

亚美尼亚-新增出院

亚美尼亚-新增死亡

top


古巴766-0-21=745

古巴-新增确诊

古巴-新增出院

古巴-新增死亡

top


突尼斯780-1-35=744

突尼斯-新增确诊

突尼斯-新增出院

突尼斯-新增死亡

top


阿富汗784-40-23=721

阿富汗-新增确诊

阿富汗-新增出院

阿富汗-新增死亡

top


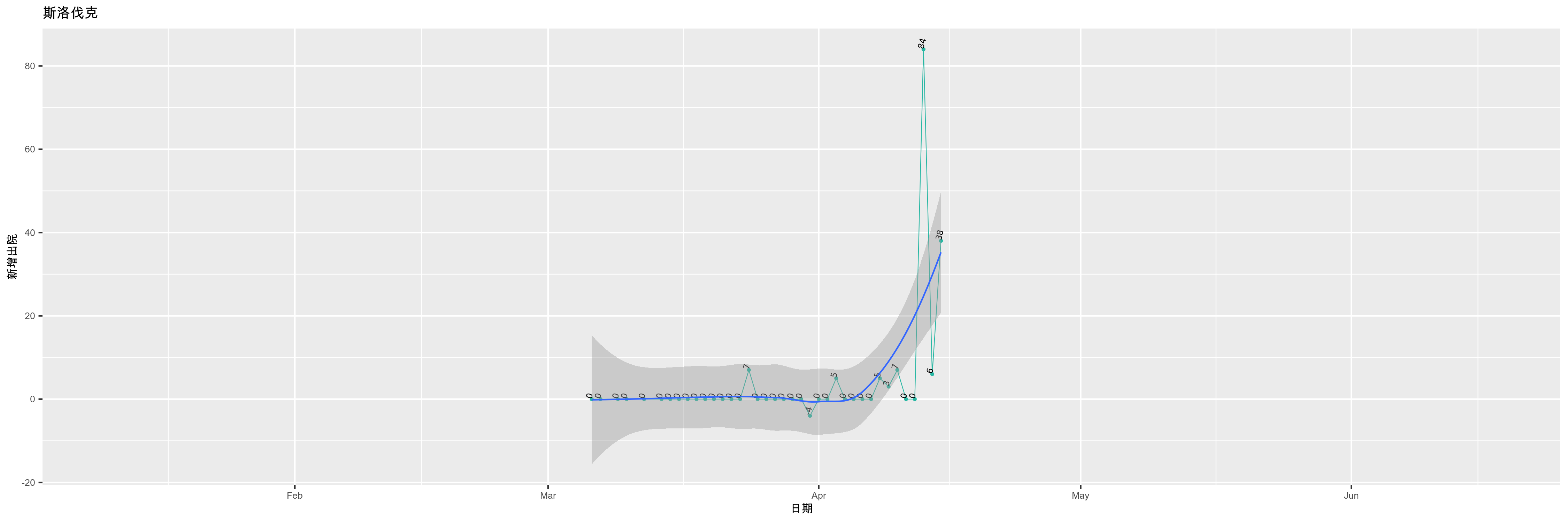
斯洛伐克863-151-2=710

斯洛伐克-新增确诊

斯洛伐克-新增出院

斯洛伐克-新增死亡

top


保加利亚747-3-36=708

保加利亚-新增确诊

保加利亚-新增出院

保加利亚-新增死亡

top


塞浦路斯715-0-17=698

塞浦路斯-新增确诊

塞浦路斯-新增出院

塞浦路斯-新增死亡

top


喀麦隆855-165-17=673

喀麦隆-新增确诊

喀麦隆-新增出院

喀麦隆-新增死亡

top


拉脱维亚666-0-5=661

拉脱维亚-新增确诊

拉脱维亚-新增出院

拉脱维亚-新增死亡

top


冰岛1727-989-96=642

冰岛-新增确诊

冰岛-新增出院

冰岛-新增死亡

top


哥斯达黎加612-0-3=609

哥斯达黎加-新增确诊

哥斯达黎加-新增出院

哥斯达黎加-新增死亡

top


红宝石公主号620-0-21=599

红宝石公主号-新增确诊

红宝石公主号-新增出院

红宝石公主号-新增死亡

top


巴勒斯坦608-46-4=558

巴勒斯坦-新增确诊

巴勒斯坦-新增出院

巴勒斯坦-新增死亡

top


黎巴嫩658-81-21=556

黎巴嫩-新增确诊

黎巴嫩-新增出院

黎巴嫩-新增死亡

top


新西兰1330-770-9=551

新西兰-新增确诊

新西兰-新增出院

新西兰-新增死亡

top


加纳641-83-8=550

加纳-新增确诊

加纳-新增出院

加纳-新增死亡

top


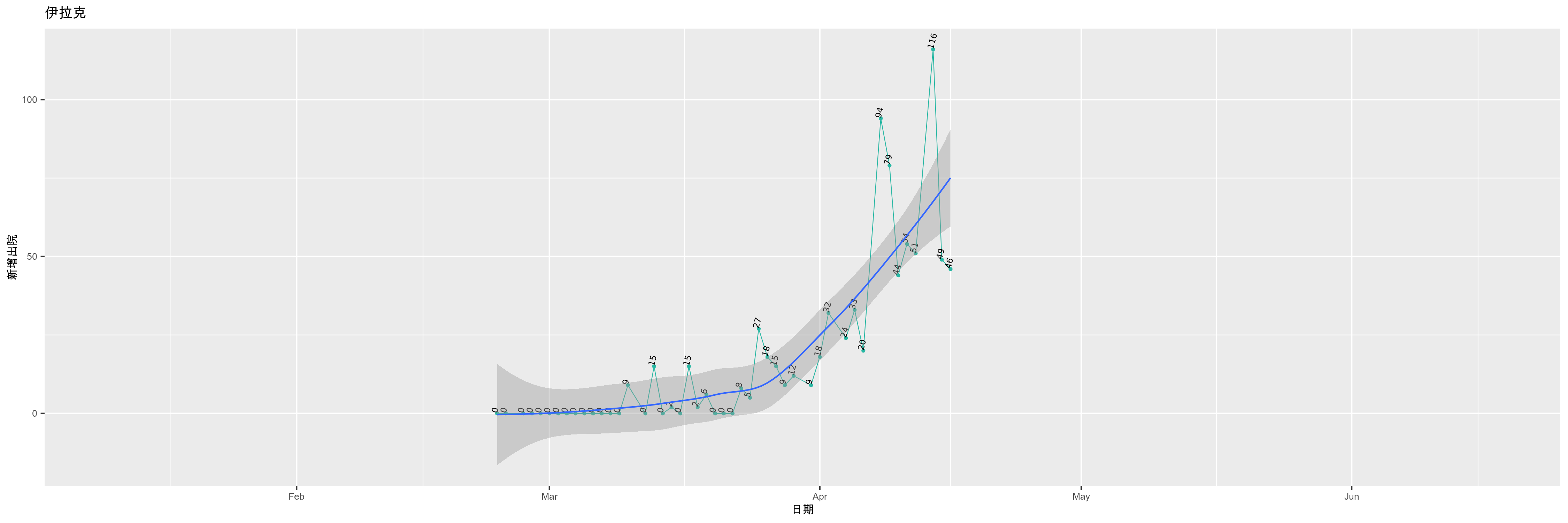
伊拉克1415-812-79=524

伊拉克-新增确诊

伊拉克-新增出院

伊拉克-新增死亡

top


科特迪瓦654-146-6=502

科特迪瓦-新增确诊

科特迪瓦-新增出院

科特迪瓦-新增死亡

top


尼日尔584-97-14=473

尼日尔-新增确诊

尼日尔-新增出院

尼日尔-新增死亡

top


安道尔673-169-33=471

安道尔-新增确诊

安道尔-新增出院

安道尔-新增死亡

top


留尼旺449-0-0=449

留尼旺-新增确诊

留尼旺-新增出院

留尼旺-新增死亡

top


洪都拉斯407-0-26=381

洪都拉斯-新增确诊

洪都拉斯-新增出院

洪都拉斯-新增死亡

top


吉尔吉斯斯坦449-67-5=377

吉尔吉斯斯坦-新增确诊

吉尔吉斯斯坦-新增出院

吉尔吉斯斯坦-新增死亡

top


吉布提435-71-2=362

吉布提-新增确诊

吉布提-新增出院

吉布提-新增死亡

top


几内亚404-41-1=362

几内亚-新增确诊

几内亚-新增出院

几内亚-新增死亡

top


马耳他399-44-3=352

马耳他-新增确诊

马耳他-新增出院

马耳他-新增死亡

top


圣马力诺372-2-36=334

圣马力诺-新增确诊

圣马力诺-新增出院

圣马力诺-新增死亡

top


玻利维亚354-0-28=326

玻利维亚-新增确诊

玻利维亚-新增出院

玻利维亚-新增死亡

top


马恩岛332-0-24=308

马恩岛-新增确诊

马恩岛-新增出院

马恩岛-新增死亡

top


布基纳法索542-226-32=284

布基纳法索-新增确诊

布基纳法索-新增出院

布基纳法索-新增死亡

top


泽西岛306-0-26=280

泽西岛-新增确诊

泽西岛-新增出院

泽西岛-新增死亡

top


尼日利亚407-128-12=267

尼日利亚-新增确诊

尼日利亚-新增出院

尼日利亚-新增死亡

top


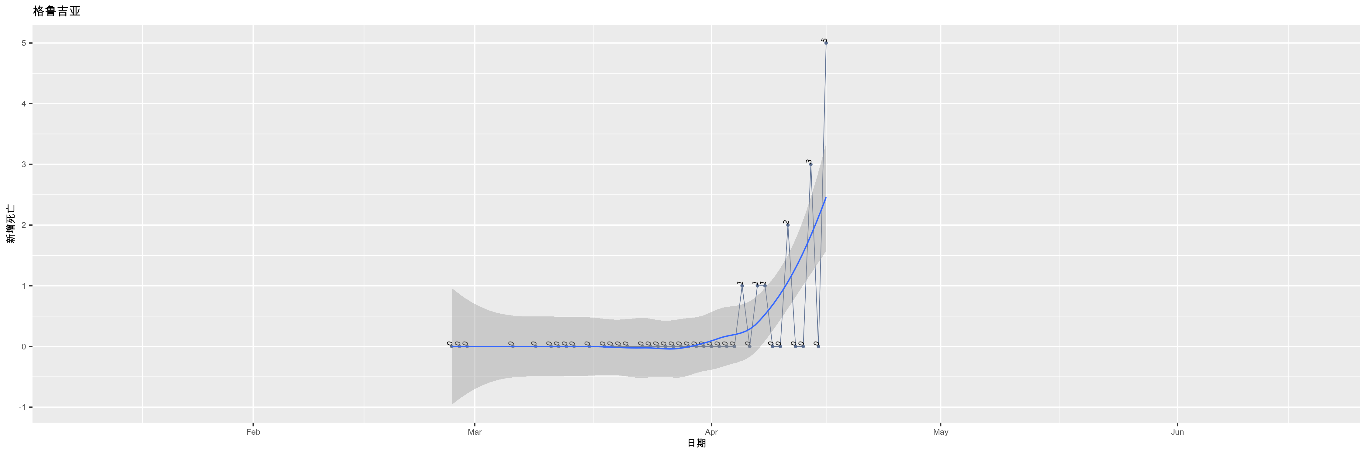
格鲁吉亚336-69-13=254

格鲁吉亚-新增确诊

格鲁吉亚-新增出院

格鲁吉亚-新增死亡

top


毛里求斯324-65-9=250

毛里求斯-新增确诊

毛里求斯-新增出院

毛里求斯-新增死亡

top


法属圭亚那249-0-1=248

法属圭亚那-新增确诊

法属圭亚那-新增出院

法属圭亚那-新增死亡

top


根西岛251-0-13=238

根西岛-新增确诊

根西岛-新增出院

根西岛-新增死亡

top


黑山288-55-4=229

黑山-新增确诊

黑山-新增出院

黑山-新增死亡

top


刚果(金)267-23-22=222

刚果(金)-新增确诊

刚果(金)-新增出院

刚果(金)-新增死亡

top


乌拉圭512-272-21=219

乌拉圭-新增确诊

乌拉圭-新增出院

乌拉圭-新增死亡

top


阿尔巴尼亚494-251-38=205

阿尔巴尼亚-新增确诊

阿尔巴尼亚-新增出院

阿尔巴尼亚-新增死亡

top


法罗群岛187-0-0=187

法罗群岛-新增确诊

法罗群岛-新增出院

法罗群岛-新增死亡

top


马提尼克岛196-0-14=182

马提尼克岛-新增确诊

马提尼克岛-新增出院

马提尼克岛-新增死亡

top


委内瑞拉181-0-9=172

委内瑞拉-新增确诊

委内瑞拉-新增出院

委内瑞拉-新增死亡

top


斯里兰卡238-63-7=168

斯里兰卡-新增确诊

斯里兰卡-新增出院

斯里兰卡-新增死亡

top


肯尼亚225-53-10=162

肯尼亚-新增确诊

肯尼亚-新增出院

肯尼亚-新增死亡

top


危地马拉167-0-5=162

危地马拉-新增确诊

危地马拉-新增出院

危地马拉-新增死亡

top


关岛158-0-5=153

关岛-新增确诊

关岛-新增出院

关岛-新增死亡

top


直布罗陀151-0-0=151

直布罗陀-新增确诊

直布罗陀-新增出院

直布罗陀-新增死亡

top


歌诗达大西洋号148-0-0=148

歌诗达大西洋号-新增确诊

歌诗达大西洋号-新增出院

歌诗达大西洋号-新增死亡

top


约旦401-250-7=144

约旦-新增确诊

约旦-新增出院

约旦-新增死亡

top


萨尔瓦多149-0-6=143

萨尔瓦多-新增确诊

萨尔瓦多-新增出院

萨尔瓦多-新增死亡

top


瓜德罗普155-0-13=142

瓜德罗普-新增确诊

瓜德罗普-新增出院

瓜德罗普-新增死亡

top


塞内加尔335-194-2=139

塞内加尔-新增确诊

塞内加尔-新增出院

塞内加尔-新增死亡

top


巴拉圭174-30-6=138

巴拉圭-新增确诊

巴拉圭-新增出院

巴拉圭-新增死亡

top


开曼群岛123-0-1=122

开曼群岛-新增确诊

开曼群岛-新增出院

开曼群岛-新增死亡

top


柬埔寨122-1-0=121

柬埔寨-新增确诊

柬埔寨-新增出院

柬埔寨-新增死亡

top


百慕大125-0-9=116

百慕大-新增确诊

百慕大-新增出院

百慕大-新增死亡

top


特立尼达和多巴哥113-0-8=105

特立尼达和多巴哥-新增确诊

特立尼达和多巴哥-新增出院

特立尼达和多巴哥-新增死亡

top


马里148-34-13=101

马里-新增确诊

马里-新增出院

马里-新增死亡

top


刚果(布)117-11-5=101

刚果(布)-新增确诊

刚果(布)-新增出院

刚果(布)-新增死亡

top


越南267-169-0=98

越南-新增确诊

越南-新增出院

越南-新增死亡

top


阿鲁巴101-0-3=98

阿鲁巴-新增确诊

阿鲁巴-新增出院

阿鲁巴-新增死亡

top


钻石公主号712-603-12=97

钻石公主号-新增确诊

钻石公主号-新增出院

钻石公主号-新增死亡

top


法属波利尼西亚89-0-0=89

法属波利尼西亚-新增确诊

法属波利尼西亚-新增出院

法属波利尼西亚-新增死亡

top


摩纳哥93-4-1=88

摩纳哥-新增确诊

摩纳哥-新增出院

摩纳哥-新增死亡

top


卢旺达136-54-0=82

卢旺达-新增确诊

卢旺达-新增出院

卢旺达-新增死亡

top


马达加斯加110-29-0=81

马达加斯加-新增确诊

马达加斯加-新增出院

马达加斯加-新增死亡

top


加蓬87-6-1=80

加蓬-新增确诊

加蓬-新增出院

加蓬-新增死亡

top


列支敦士登81-0-1=80

列支敦士登-新增确诊

列支敦士登-新增出院

列支敦士登-新增死亡

top


缅甸85-2-4=79

缅甸-新增确诊

缅甸-新增出院

缅甸-新增死亡

top


埃塞俄比亚92-15-3=74

埃塞俄比亚-新增确诊

埃塞俄比亚-新增出院

埃塞俄比亚-新增死亡

top


坦桑尼亚88-13-4=71

坦桑尼亚-新增确诊

坦桑尼亚-新增出院

坦桑尼亚-新增死亡

top


牙买加73-0-4=69

牙买加-新增确诊

牙买加-新增出院

牙买加-新增死亡

top


巴巴多斯72-0-4=68

巴巴多斯-新增确诊

巴巴多斯-新增出院

巴巴多斯-新增死亡

top


荷属圣马丁78-0-15=63

荷属圣马丁-新增确诊

荷属圣马丁-新增出院

荷属圣马丁-新增死亡

top


美属维尔京群岛69-0-6=63

美属维尔京群岛-新增确诊

美属维尔京群岛-新增出院

美属维尔京群岛-新增死亡

top


索马里60-1-2=57

索马里-新增确诊

索马里-新增出院

索马里-新增死亡

top


香港1064-1009-4=51

香港-新增确诊

香港-新增出院

香港-新增死亡

top


利比里亚59-4-6=49

利比里亚-新增确诊

利比里亚-新增出院

利比里亚-新增死亡

top


赤道几内亚51-4-0=47

赤道几内亚-新增确诊

赤道几内亚-新增出院

赤道几内亚-新增死亡

top


多哥81-35-3=43

多哥-新增确诊

多哥-新增出院

多哥-新增死亡

top


几内亚比绍46-3-0=43

几内亚比绍-新增确诊

几内亚比绍-新增出院

几内亚比绍-新增死亡

top


圭亚那55-8-6=41

圭亚那-新增确诊

圭亚那-新增出院

圭亚那-新增死亡

top


巴哈马49-0-8=41

巴哈马-新增确诊

巴哈马-新增出院

巴哈马-新增死亡

top


乌干达55-18-0=37

乌干达-新增确诊

乌干达-新增出院

乌干达-新增死亡

top


海地40-0-3=37

海地-新增确诊

海地-新增出院

海地-新增死亡

top


法属圣马丁40-0-3=37

法属圣马丁-新增确诊

法属圣马丁-新增出院

法属圣马丁-新增死亡

top


利比亚48-11-1=36

利比亚-新增确诊

利比亚-新增出院

利比亚-新增死亡

top


文莱136-99-1=36

文莱-新增确诊

文莱-新增出院

文莱-新增死亡

top


厄立特里亚35-0-0=35

厄立特里亚-新增确诊

厄立特里亚-新增出院

厄立特里亚-新增死亡

top


科摩罗32-0-1=31

科摩罗-新增确诊

科摩罗-新增出院

科摩罗-新增死亡

top


莫桑比克29-2-0=27

莫桑比克-新增确诊

莫桑比克-新增出院

莫桑比克-新增死亡

top


叙利亚33-5-2=26

叙利亚-新增确诊

叙利亚-新增出院

叙利亚-新增死亡

top


苏丹32-2-5=25

苏丹-新增确诊

苏丹-新增出院

苏丹-新增死亡

top


蒙古30-5-0=25

蒙古-新增确诊

蒙古-新增出院

蒙古-新增死亡

top


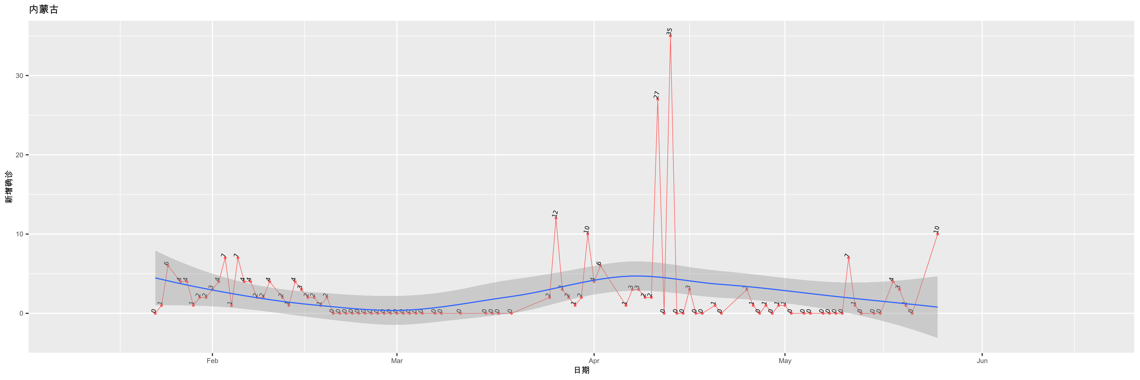
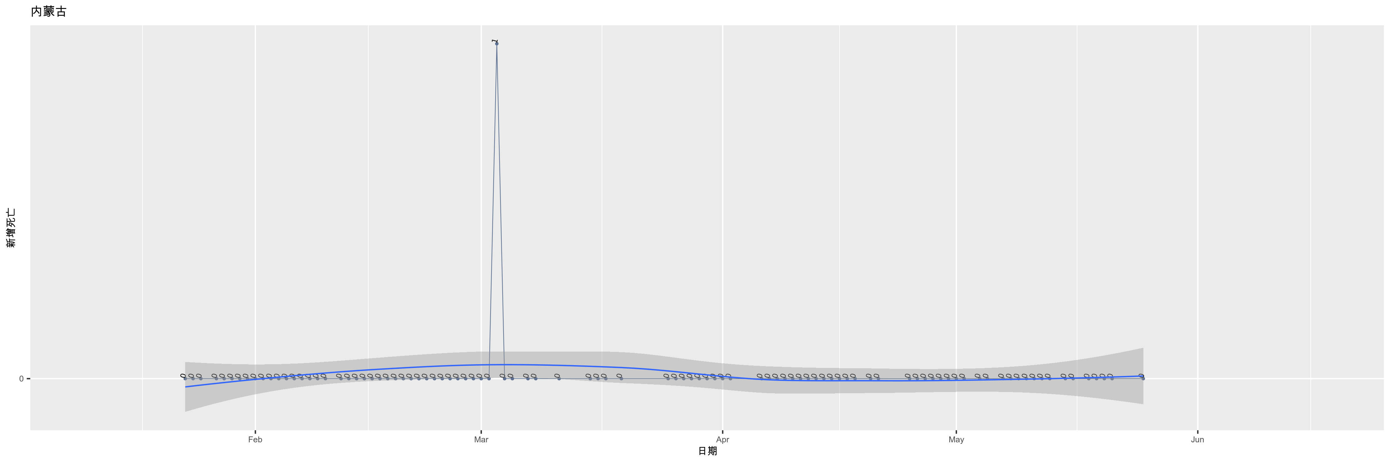
内蒙古227-201-1=25

内蒙古-新增确诊

内蒙古-新增出院

内蒙古-新增死亡

top


吉林155-128-2=25

吉林-新增确诊

吉林-新增出院

吉林-新增死亡

top


乍得23-0-0=23

乍得-新增确诊

乍得-新增出院

乍得-新增死亡

top


安提瓜和巴布达23-0-2=21

安提瓜和巴布达-新增确诊

安提瓜和巴布达-新增出院

安提瓜和巴布达-新增死亡

top


台湾439-412-7=20

台湾-新增确诊

台湾-新增出院

台湾-新增死亡

top


北马里亚纳群岛邦22-0-2=20

北马里亚纳群岛邦-新增确诊

北马里亚纳群岛邦-新增出院

北马里亚纳群岛邦-新增死亡

top


津巴布韦23-1-3=19

津巴布韦-新增确诊

津巴布韦-新增出院

津巴布韦-新增死亡

top


老挝19-0-0=19

老挝-新增确诊

老挝-新增出院

老挝-新增死亡

top


新喀里多尼亚18-0-0=18

新喀里多尼亚-新增确诊

新喀里多尼亚-新增出院

新喀里多尼亚-新增死亡

top


上海667-644-7=16

上海-新增确诊

上海-新增出院

上海-新增死亡

top


赞比亚48-30-2=16

赞比亚-新增确诊

赞比亚-新增出院

赞比亚-新增死亡

top


贝宁35-18-1=16

贝宁-新增确诊

贝宁-新增出院

贝宁-新增死亡

top


伯利兹18-0-2=16

伯利兹-新增确诊

伯利兹-新增出院

伯利兹-新增死亡

top


斐济16-0-0=16

斐济-新增确诊

斐济-新增出院

斐济-新增死亡

top


多米尼克16-0-0=16

多米尼克-新增确诊

多米尼克-新增出院

多米尼克-新增死亡

top


尼泊尔16-1-0=15

尼泊尔-新增确诊

尼泊尔-新增出院

尼泊尔-新增死亡

top


库拉索16-0-1=15

库拉索-新增确诊

库拉索-新增出院

库拉索-新增死亡

top


圣卢西亚15-0-0=15

圣卢西亚-新增确诊

圣卢西亚-新增出院

圣卢西亚-新增死亡

top


马拉维16-0-2=14

马拉维-新增确诊

马拉维-新增出院

马拉维-新增死亡

top


格林纳达14-0-0=14

格林纳达-新增确诊

格林纳达-新增出院

格林纳达-新增死亡

top


纳米比亚16-3-0=13

纳米比亚-新增确诊

纳米比亚-新增出院

纳米比亚-新增死亡

top


塞拉利昂13-0-0=13

塞拉利昂-新增确诊

塞拉利昂-新增出院

塞拉利昂-新增死亡

top


安哥拉19-5-2=12

安哥拉-新增确诊

安哥拉-新增出院

安哥拉-新增死亡

top


马尔维纳斯群岛13-0-1=12

马尔维纳斯群岛-新增确诊

马尔维纳斯群岛-新增出院

马尔维纳斯群岛-新增死亡

top


博茨瓦纳13-0-1=12

博茨瓦纳-新增确诊

博茨瓦纳-新增出院

博茨瓦纳-新增死亡

top


圣文森特和格林纳丁斯12-0-0=12

圣文森特和格林纳丁斯-新增确诊

圣文森特和格林纳丁斯-新增出院

圣文森特和格林纳丁斯-新增死亡

top


圣基茨和尼维斯12-0-0=12

圣基茨和尼维斯-新增确诊

圣基茨和尼维斯-新增出院

圣基茨和尼维斯-新增死亡

top


中非共和国12-0-0=12

中非共和国-新增确诊

中非共和国-新增出院

中非共和国-新增死亡

top


特克斯和凯科斯群岛12-0-1=11

特克斯和凯科斯群岛-新增确诊

特克斯和凯科斯群岛-新增出院

特克斯和凯科斯群岛-新增死亡

top


格陵兰岛11-0-0=11

格陵兰岛-新增确诊

格陵兰岛-新增出院

格陵兰岛-新增死亡

top


塞舌尔11-0-0=11

塞舌尔-新增确诊

塞舌尔-新增出院

塞舌尔-新增死亡

top


蒙特塞拉特11-0-1=10

蒙特塞拉特-新增确诊

蒙特塞拉特-新增出院

蒙特塞拉特-新增死亡

top


佛得角11-0-1=10

佛得角-新增确诊

佛得角-新增出院

佛得角-新增死亡

top


尼加拉瓜9-0-1=8

尼加拉瓜-新增确诊

尼加拉瓜-新增出院

尼加拉瓜-新增死亡

top


迈希夫3号8-0-0=8

迈希夫3号-新增确诊

迈希夫3号-新增出院

迈希夫3号-新增死亡

top


梵蒂冈8-0-0=8

梵蒂冈-新增确诊

梵蒂冈-新增出院

梵蒂冈-新增死亡

top


斯威士兰16-8-0=8

斯威士兰-新增确诊

斯威士兰-新增出院

斯威士兰-新增死亡

top


英属维尔京群岛8-0-1=7

英属维尔京群岛-新增确诊

英属维尔京群岛-新增出院

英属维尔京群岛-新增死亡

top


马尔代夫23-16-0=7

马尔代夫-新增确诊

马尔代夫-新增出院

马尔代夫-新增死亡

top


苏里南10-0-3=7

苏里南-新增确诊

苏里南-新增出院

苏里南-新增死亡

top


冈比亚9-2-1=6

冈比亚-新增确诊

冈比亚-新增出院

冈比亚-新增死亡

top


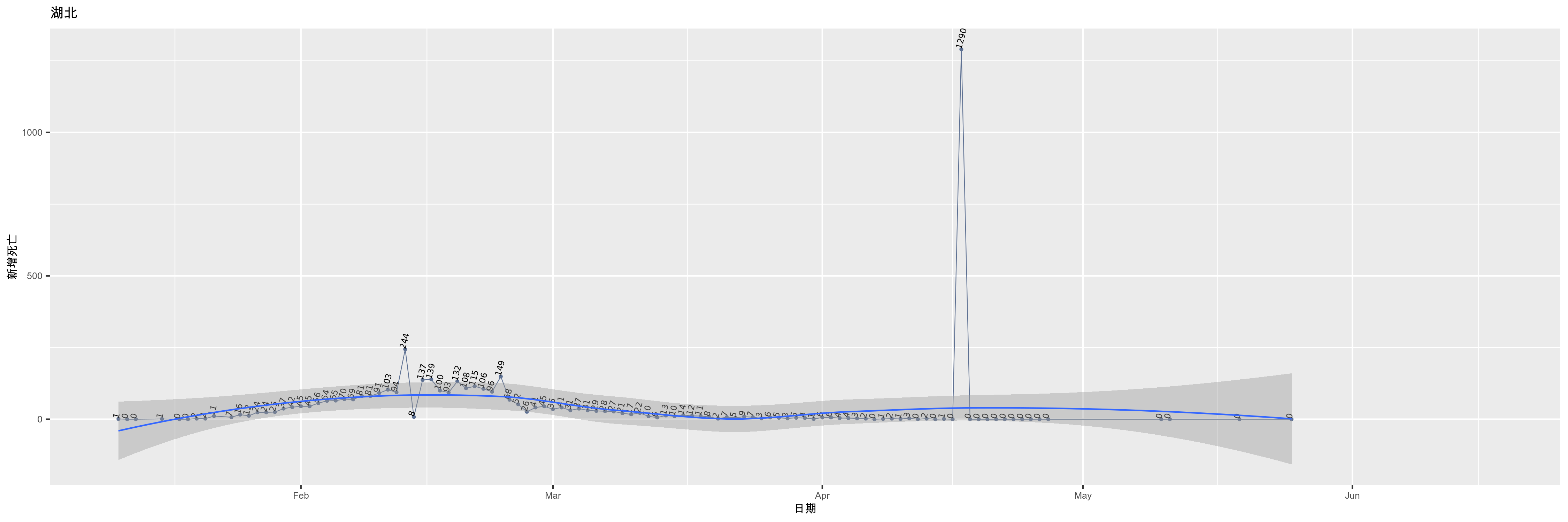
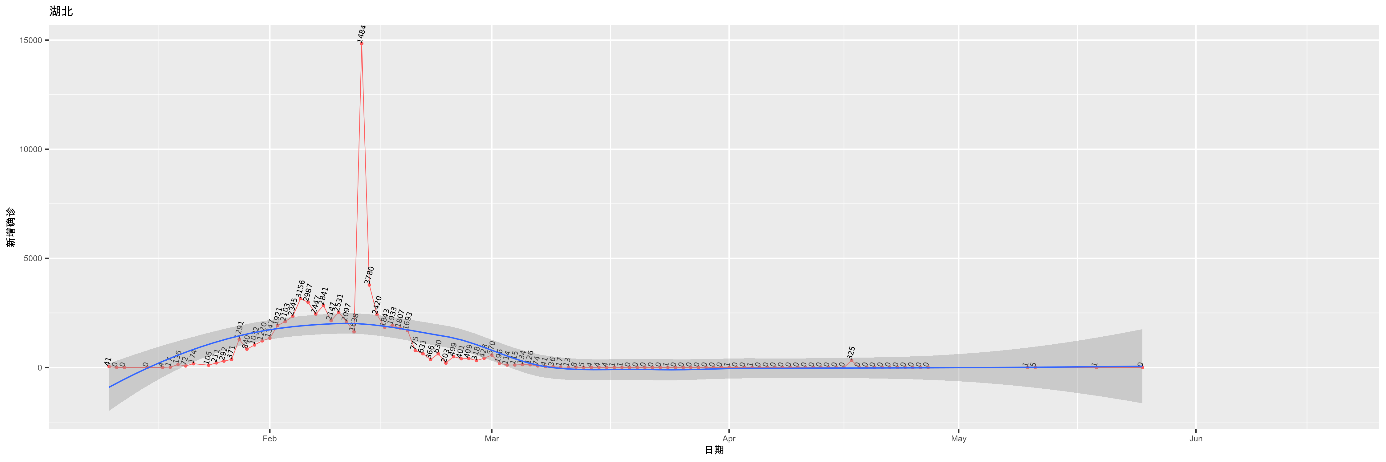
湖北68135-63617-4512=6

湖北-新增确诊

湖北-新增出院

湖北-新增死亡

top


荷属加勒比区6-0-0=6

荷属加勒比区-新增确诊

荷属加勒比区-新增出院

荷属加勒比区-新增死亡

top


圣巴托洛缪岛6-0-0=6

圣巴托洛缪岛-新增确诊

圣巴托洛缪岛-新增出院

圣巴托洛缪岛-新增死亡

top


东帝汶6-0-0=6

东帝汶-新增确诊

东帝汶-新增出院

东帝汶-新增死亡

top


北京593-579-9=5

北京-新增确诊

北京-新增出院

北京-新增死亡

top


布拉马尔女士号5-0-0=5

布拉马尔女士号-新增确诊

布拉马尔女士号-新增出院

布拉马尔女士号-新增死亡

top


不丹5-0-0=5

不丹-新增确诊

不丹-新增出院

不丹-新增死亡

top


毛里塔尼亚7-2-1=4

毛里塔尼亚-新增确诊

毛里塔尼亚-新增出院

毛里塔尼亚-新增死亡

top


布隆迪5-0-1=4

布隆迪-新增确诊

布隆迪-新增出院

布隆迪-新增死亡

top


西撒哈拉4-0-0=4

西撒哈拉-新增确诊

西撒哈拉-新增出院

西撒哈拉-新增死亡

top


圣多美和普林西比4-0-0=4

圣多美和普林西比-新增确诊

圣多美和普林西比-新增出院

圣多美和普林西比-新增死亡

top


南苏丹4-0-0=4

南苏丹-新增确诊

南苏丹-新增出院

南苏丹-新增死亡

top


四川564-558-3=3

四川-新增确诊

四川-新增出院

四川-新增死亡

top


安圭拉3-0-0=3

安圭拉-新增确诊

安圭拉-新增出院

安圭拉-新增死亡

top


天津192-186-3=3

天津-新增确诊

天津-新增出院

天津-新增死亡

top


广东1592-1581-8=3

广东-新增确诊

广东-新增出院

广东-新增死亡

top


辽宁149-144-2=3

辽宁-新增确诊

辽宁-新增出院

辽宁-新增死亡

top


莱索托2-0-0=2

莱索托-新增确诊

莱索托-新增出院

莱索托-新增死亡

top


巴布亚新几内亚2-0-0=2

巴布亚新几内亚-新增确诊

巴布亚新几内亚-新增出院

巴布亚新几内亚-新增死亡

top


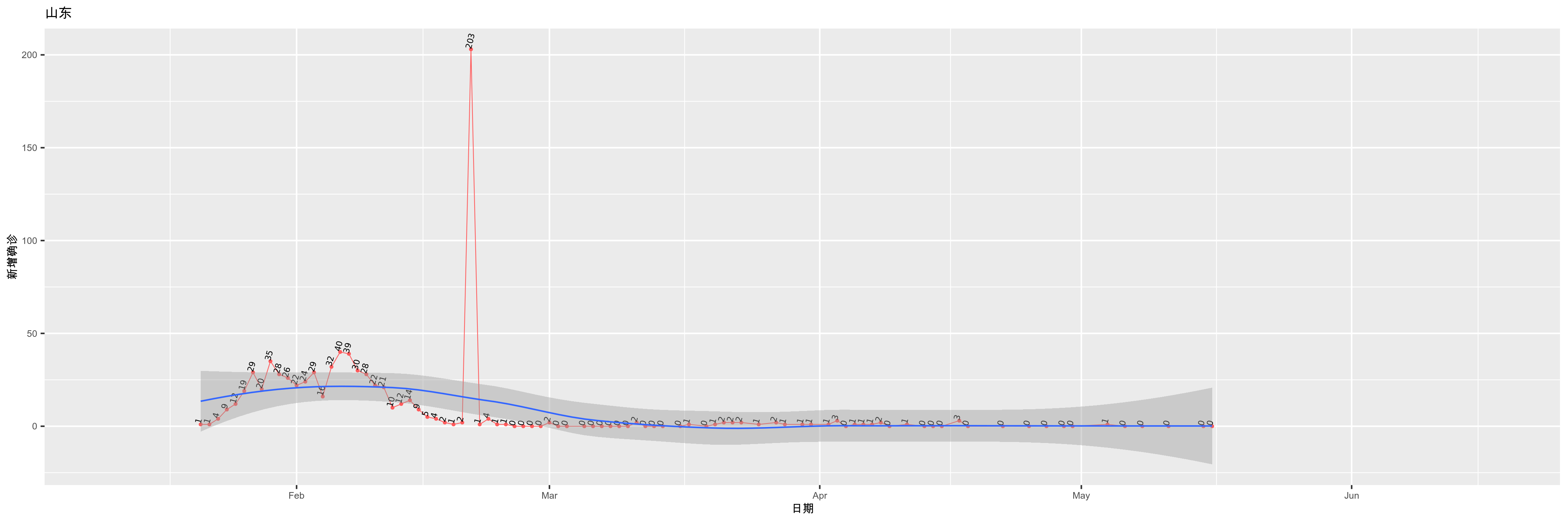
山东788-780-7=1

山东-新增确诊

山东-新增出院

山东-新增死亡

top


陕西308-304-3=1

陕西-新增确诊

陕西-新增出院

陕西-新增死亡

top


海南169-162-6=1

海南-新增确诊

海南-新增出院

海南-新增死亡

top


圣皮埃尔岛和密克隆岛1-0-0=1

圣皮埃尔岛和密克隆岛-新增确诊

圣皮埃尔岛和密克隆岛-新增出院

圣皮埃尔岛和密克隆岛-新增死亡

top


也门1-0-0=1

也门-新增确诊

也门-新增出院

也门-新增死亡

top


安徽991-985-6=0

安徽-新增确诊

安徽-新增出院

安徽-新增死亡

top


黑龙江945-932-13=0

黑龙江-新增确诊

黑龙江-新增出院

黑龙江-新增死亡

top


江西937-936-1=0

江西-新增确诊

江西-新增出院

江西-新增死亡

top


新疆76-73-3=0

新疆-新增确诊

新疆-新增出院

新疆-新增死亡

top


宁夏75-75-0=0

宁夏-新增确诊

宁夏-新增出院

宁夏-新增死亡

top


江苏653-653-0=0

江苏-新增确诊

江苏-新增出院

江苏-新增死亡

top


重庆579-573-6=0

重庆-新增确诊

重庆-新增出院

重庆-新增死亡

top


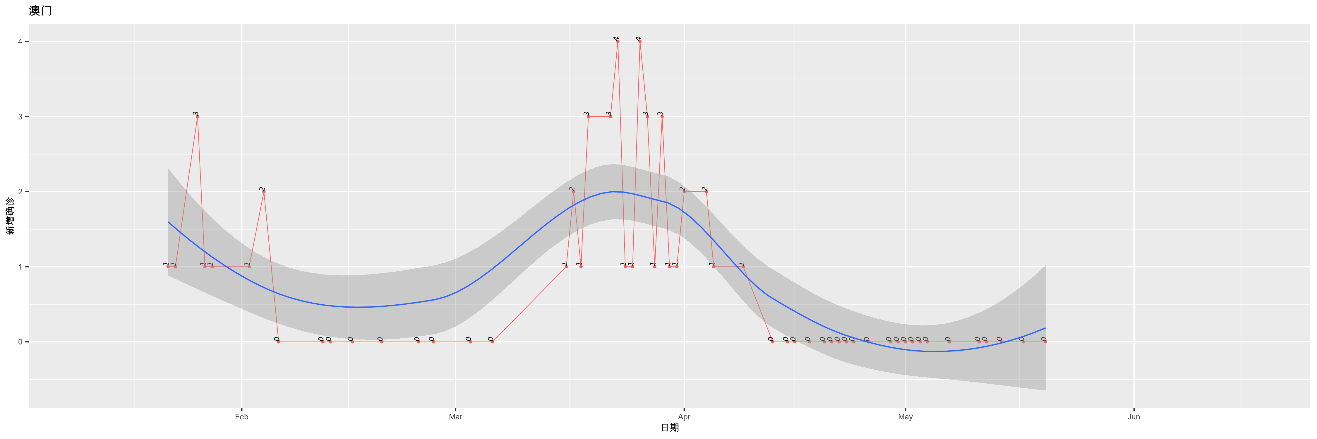
澳门45-45-0=0

澳门-新增确诊

澳门-新增出院

澳门-新增死亡

top


福建356-355-1=0

福建-新增确诊

福建-新增出院

福建-新增死亡

top


河北328-322-6=0

河北-新增确诊

河北-新增出院

河北-新增死亡

top


广西254-252-2=0

广西-新增确诊

广西-新增出院

广西-新增死亡

top


山西198-198-0=0

山西-新增确诊

山西-新增出院

山西-新增死亡

top


云南185-183-2=0

云南-新增确诊

云南-新增出院

云南-新增死亡

top


青海18-18-0=0

青海-新增确诊

青海-新增出院

青海-新增死亡

top


贵州147-145-2=0

贵州-新增确诊

贵州-新增出院

贵州-新增死亡

top


甘肃139-137-2=0

甘肃-新增确诊

甘肃-新增出院

甘肃-新增死亡

top


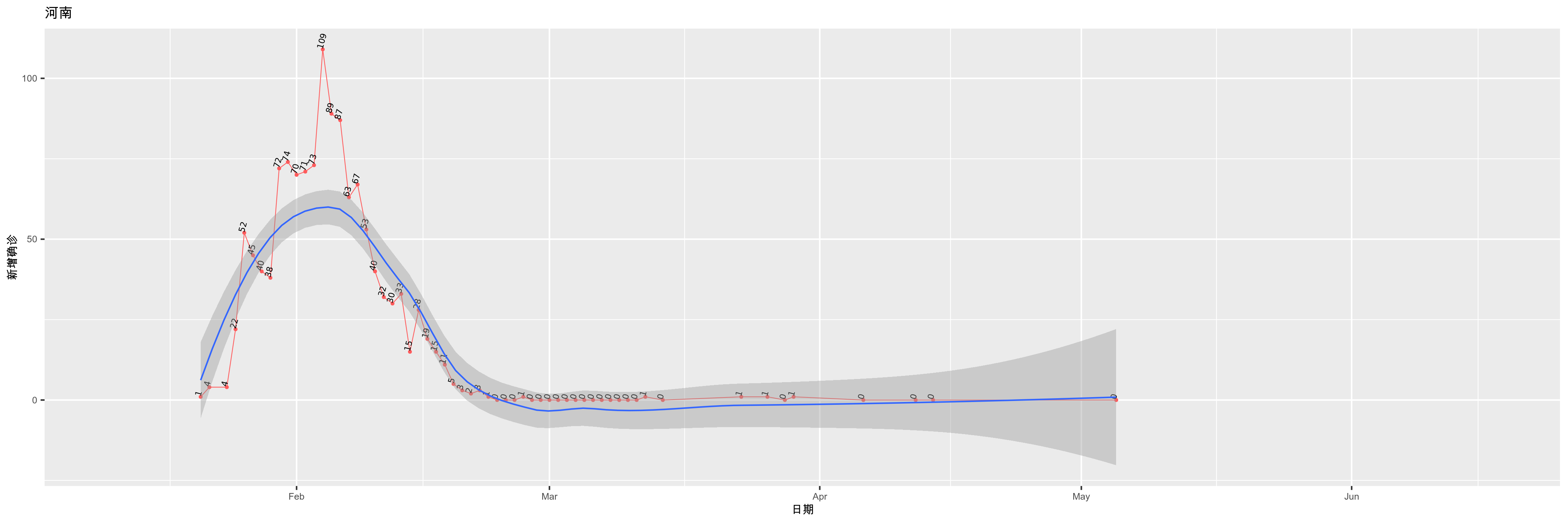
河南1276-1254-22=0

河南-新增确诊

河南-新增出院

河南-新增死亡

top


浙江1268-1267-1=0

浙江-新增确诊

浙江-新增出院

浙江-新增死亡

top


湖南1019-1015-4=0

湖南-新增确诊

湖南-新增出院

湖南-新增死亡

top


西藏1-1-0=0

西藏-新增确诊

西藏-新增出院

西藏-新增死亡

top